М
Молодежь
К
Компьютеры-и-электроника
Д
Дом-и-сад
С
Стиль-и-уход-за-собой
П
Праздники-и-традиции
Т
Транспорт
П
Путешествия
С
Семейная-жизнь
Ф
Философия-и-религия
Б
Без категории
М
Мир-работы
Х
Хобби-и-рукоделие
И
Искусство-и-развлечения
В
Взаимоотношения
З
Здоровье
К
Кулинария-и-гостеприимство
Ф
Финансы-и-бизнес
П
Питомцы-и-животные
О
Образование
О
Образование-и-коммуникации
Yablochkho
Yablochkho
09.12.2022 20:43 •  Геометрия

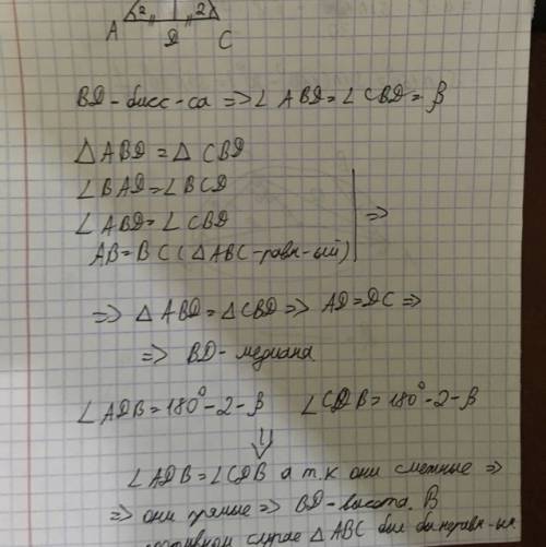
Доказать теорему: в равнобедренном треугольнике биссектриса проведенная к основанию является медианой и высотой(не как в интернете)

👇
Ответ:
Tomiriszharasbaeva
Tomiriszharasbaeva
09.12.2022
Доказательство о том что биссектриса является высотой и медианой
Доказать теорему: в равнобедренном треугольнике биссектриса проведенная к основанию является медиано
4,6(14 оценок)
Открыть все ответы
Ответ:
Dasha29081
Dasha29081
09.12.2022

При пересечении двух параллельных прямых третьей (не под прямым углом) образуются 8 углов, четыре из которых имеют одну величину и четыре - другую:

На рисунке видны такие углы 1 и 3; 2 и 4, а так же 5 и 7; 6 и 8. Очевидно, что все эти пары представляют собой равные углы, так как являются вертикальными. Таким образом, мы имеем четыре бо'льших угла: 1, 3, 5, 7 и четыре меньших: 2, 4, 6, 8. Разность между бо'льшим и меньшим углом, по условию, равна 44°. Сумма большего и меньшего равна 180°. Тогда:

{ ∠1 - ∠2 = 44°

{ ∠1 + ∠2 = 180°    -  Складываем оба уравнения:

2 *∠1 = 224°   =>   ∠1 = 112°;    ∠2 = 180 - 112 = 68°

Таким образом: ∠1 = ∠3 = ∠5 = ∠7 = 112°

                            ∠2 = ∠4 = ∠6 = ∠8 = 68°  


Две параллельные прямые пересечена секущей разность двух из восьми образовавшейся угла равны 44 град
4,4(60 оценок)
Ответ:
Elenawow
Elenawow
09.12.2022
Ра́диус (лат. radius — спица колеса, луч) — отрезок, соединяющий центр окружности (или сферы) с любой точкой, лежащей на окружности (или поверхности сферы), а также длина этого отрезка.
Окру́жность — замкнутая плоская кривая, все точки которой одинаково удалены от данной точки (центра), лежащей в той же плоскости, что и кривая.
Диаметр окружности является хордой, проходящей через её центр; такая хорда имеет максимальную длину.
Хо́рда — отрезок, соединяющий две точки данной кривой (например, окружности, эллипса, параболы).
Круг – множество точек плоскости, удаленных от заданной точки этой плоскости на расстояние, не превышающее заданное (радиус круга).
4,5(24 оценок)
Это интересно:
Новые ответы от MOGZ: Геометрия
logo
Вход Регистрация
Что ты хочешь узнать?
Спроси Mozg
Открыть лучший ответ