М
Молодежь
К
Компьютеры-и-электроника
Д
Дом-и-сад
С
Стиль-и-уход-за-собой
П
Праздники-и-традиции
Т
Транспорт
П
Путешествия
С
Семейная-жизнь
Ф
Философия-и-религия
Б
Без категории
М
Мир-работы
Х
Хобби-и-рукоделие
И
Искусство-и-развлечения
В
Взаимоотношения
З
Здоровье
К
Кулинария-и-гостеприимство
Ф
Финансы-и-бизнес
П
Питомцы-и-животные
О
Образование
О
Образование-и-коммуникации

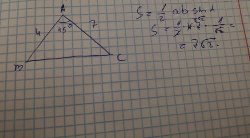
Найти площадь треугольника abc если угол а=45° ab=4 ас=7с чертежом​

👇
Ответ:
LIMON4IKBRO
LIMON4IKBRO
02.10.2020

ответ является 7корень2


Найти площадь треугольника abc если угол а=45° ab=4 ас=7с чертежом​
4,4(7 оценок)
Открыть все ответы
Ответ:
lauraumirzhan55
lauraumirzhan55
02.10.2020
 равнобедренный треугольник вписанный круг, который делит боковую сторону в отношение 2 : 3, начиная от вершины, что лежит против основы. Найдите периметр треугольника, если его основа равна 12 см.Треугольник АВС, АВ=ВС, АС=12, точка М касание на АВ, точка Н касание на ВС, точка К касание на АС, ВМ/АМ=2/3 = ВН/СН, АМ=АК как касательные проведенные из одной точки =3, СК=СН как касательные проведенные из одной точки = 3АС=АК+СК=3+3=6 = 12 см1 часть=12/6=2АВ=3+2=5 частей = 5 х 2 =10 = ВСпериметр = 10+10+12=32
4,4(86 оценок)
Ответ:
Potterhead01
Potterhead01
02.10.2020

угол между боковой гранью и основанием===угол между высотой боковой грани и высотой основания

и основание пирамиды и боковая грань---правильные треугольники, высота является и медианой

ребро пирамиды обозначим х

из прямоуг.треуг.в основании: x^2 = (x/2)^2 + (высота_основания)^2

(высота_основания)^2 = 3*x^2 / 4

высота основания=высоте боковой грани

по т.косинусов из треугольника со сторонами высота боковой грани---высота основания---ребро пирамиды:

x^2 = 2*(3*x^2 / 4) - 2*3*x^2 / 4 * cosA = 3*x^2 / 2 * (1-cosA)

1-cosA = 2/3

cosA = 1/3

 
4,5(29 оценок)
Это интересно:
Новые ответы от MOGZ: Геометрия
logo
Вход Регистрация
Что ты хочешь узнать?
Спроси Mozg
Открыть лучший ответ