М
Молодежь
К
Компьютеры-и-электроника
Д
Дом-и-сад
С
Стиль-и-уход-за-собой
П
Праздники-и-традиции
Т
Транспорт
П
Путешествия
С
Семейная-жизнь
Ф
Философия-и-религия
Б
Без категории
М
Мир-работы
Х
Хобби-и-рукоделие
И
Искусство-и-развлечения
В
Взаимоотношения
З
Здоровье
К
Кулинария-и-гостеприимство
Ф
Финансы-и-бизнес
П
Питомцы-и-животные
О
Образование
О
Образование-и-коммуникации
ZlataM1
ZlataM1
30.09.2021 13:18 •  История

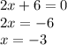
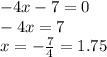
16х=-4 4=0*х 10х-8=0 2х+6=0 -4х-7=0

👇
Ответ:
джанил
джанил
30.09.2021
16x-4=0
16x=4
x=4/16=1/4

10x-8=0
10x=8
x = \frac{8}{10} = \frac{4}{5}
2x + 6 = 0 \\ 2x = - 6 \\ x = - 3
- 4x - 7 = 0 \\ - 4x = 7 \\ x = - \frac{7}{4} = 1.75
4,5(62 оценок)
Открыть все ответы
Ответ:
follizy
follizy
30.09.2021

1)      Его цель по ослаблению Ига получила успешную реализацию. Ему действительно удалось застать их врасплох и показать, что русские земли в состоянии дать отпор поэтому земли Северо-Восточной Руси прислушались к нему и позволили ему укрепить свою власть на их территории.

2)      Ольгерд, вероятно, хотел достичь желаемых целей и стать высшим должностным лицом Тверского княжества. Чьими-то руками это сделать было гораздо легче.

3)      Отложеные деньги на Московское княжество ему развить землю до такого уровня, что она могла конкурировать с ним. И объединение земель позволило князьям не бояться Орды, а совместными силами дать отпор.  

4)      В Орде была усобица, и в войске также не было согласия и поэтому разрозненность была на руку русским войскам на Куликовском поле. Плюс, русское войско было собрано из воинов разных княжеств, а не из одного.

5)      Победа в Куликовской битве позволила укрепить положение Москвы, теперь Орда была ослаблена для Москвы. Кроме того, размер дани Орде был снижен, и Орда продолжала слабеть.

6)      Тохматыш был законным внуком Чингисхана, а значит легитимно занимал должность правителя. Однако, Мамай, как и Батый, произошли от Джучи (есть мнения о том, что он не сын Чингисхана). 

4,6(30 оценок)
Ответ:
Demon211108
Demon211108
30.09.2021

1.летописи, жития,сказания

2.Ислам был утверждён в качестве государственной религии в государстве Караханидов в конце X века. По мере расширения империи Чингисхана распространение ислама замедлилось, так как традиционной религией тюрков было тенгрианство.

3.Язычество (вроде)

4.О развитии письменной литературы свидетельствуют артефакты, которые дошли до наших дней. Артефакты, который содержат надписи называют "письменными источниками". Само возникновение письменности указывает на развитии общества, овладение определёнными технологиями. Ранее литература носила только устный характер. Информация передавалась от одного человека другому посредством речи

4,8(8 оценок)
Это интересно:
logo
Вход Регистрация
Что ты хочешь узнать?
Спроси Mozg
Открыть лучший ответ