М
Молодежь
К
Компьютеры-и-электроника
Д
Дом-и-сад
С
Стиль-и-уход-за-собой
П
Праздники-и-традиции
Т
Транспорт
П
Путешествия
С
Семейная-жизнь
Ф
Философия-и-религия
Б
Без категории
М
Мир-работы
Х
Хобби-и-рукоделие
И
Искусство-и-развлечения
В
Взаимоотношения
З
Здоровье
К
Кулинария-и-гостеприимство
Ф
Финансы-и-бизнес
П
Питомцы-и-животные
О
Образование
О
Образование-и-коммуникации
SonyaCarrol
SonyaCarrol
09.08.2021 04:24 •  Химия

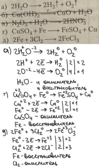
Параграф 5, стр 22 вопрос 6 письменно (в этом надо выбрать овр и расставить коэффициенты методом электронного ).

👇
Ответ:
f0xsick
f0xsick
09.08.2021

Відповідь:

Окислительно-восстановительными являются реакции в которых можно выделить окислитель и восстановитель - восстанавливающееся вещество и окисляющееся.


Параграф 5, стр 22 вопрос 6 письменно (в этом надо выбрать овр и расставить коэффициенты методом эле
4,6(79 оценок)
Открыть все ответы
Ответ:
AlexSubbotin11
AlexSubbotin11
09.08.2021

золото в медицине и .

первые попытки применять золото в медицинских целях относятся еще ко временам , но они были немногим успешнее поисков философского камня.

в xvi в. парацельс пытался использовать препараты золота для лечения некоторых болезней, в частности сифилиса. "не превращение металлов в золото должно быть целью , а приготовление лекарств", - писал он.

значительно позднее соединения, содержащие золото, были предложены в качестве лекарства против туберкулеза. было бы неверным считать, что это предложение лишено разумных оснований: in vitro, т.е. вне организма, "в пробирке", эти соли губительно действуют на туберкулезную палочку, но для эффективной борьбы с болезнью нужна довольно высокая концентрация этих солей. в наши дни соли золота имеют значение для борьбы с туберкулезом лишь постольку, поскольку они повышают сопротивляемость заболеванию.

выяснено также, что хлорное золото при концентрации 1: 30000 начинает тормозить спиртовое брожение, с повышением концентрации до 1: 3900 - уже значительно угнетает его, а при концентрации 1: 200 - полностью останавливает.

более эффективным медицинским средством оказался тиосульфат золота и натрия aunas2o3, который успешно применяется для лечения трудноизлечимого кожного заболевания - эритематозной волчанки. в медицинской практике стали применять и органические соединения золота, прежде всего кризолган и трифал.

кризолган одно время широко применяли в европе для борьбы с туберкулезом, а трифал, менее токсичный и более эффективный, чем тиосульфат золота и натрия, - как лекарство от эритематозной волчанки. в советском союзе был синтезирован высокоактивный препарат - кризанол (au-s-сн2-снон-ch2so3)2ca для лечения волчанки, туберкулеза, проказы.

после открытия радиоактивных изотопов золота его роль в медицине заметно возросла. коллоидные частицы изотопов используют для лечения злокачественных опухолей. эти частицы инертны, и потому их не обязательно как можно скорее выводить из организма. введенные в отдельные области опухоли, они облучают только пораженные места. при радиоактивного золота удается излечивать некоторые формы рака. создан специальный "радиоактивный пистолет", в обойме которого 15 стерженьков из радиоактивного золота с периодом полураспада в 2,7 суток. практика показала, что лечение "радиоактивными иголками" дает возможность ликвидировать поверхностно расположенную опухоль молочной железы уже на 25-й день.

кризолган одно время широко применяли в европе для борьбы с туберкулезом, а трифал, менее токсичный и более эффективный, чем тиосульфат золота и натрия, - как лекарство от эритематозной волчанки. в советском союзе был синтезирован высокоактивный препарат - кризанол (au-s-сн2-снон-ch2so3)2ca для лечения волчанки, туберкулеза, проказы.

после открытия радиоактивных изотопов золота его роль в медицине заметно возросла. коллоидные частицы изотопов используют для лечения злокачественных опухолей. эти частицы инертны, и потому их не обязательно как можно скорее выводить из организма. введенные в отдельные области опухоли, они облучают только пораженные места. при радиоактивного золота удается излечивать некоторые формы рака. создан специальный "радиоактивный пистолет", в обойме которого 15 стерженьков из радиоактивного золота с периодом полураспада в 2,7 суток. практика показала, что лечение "радиоактивными иголками" дает возможность ликвидировать поверхностно расположенную опухоль молочной железы уже на 25-й день.

4,5(2 оценок)
Ответ:
ьапттыт
ьапттыт
09.08.2021

при производстве мела и мелосодержащей продукции применяют уже обработанный мел.

природные меловые залежи зачастую содержат различные нежелательные примеси – камни, песок и разнообразные минеральные частицы. поэтому мел, добытый на месторождениях, ломают и смешивают с водой таким образом, чтобы получить взвесь.

при этом тяжелые примеси опускаются на дно, а легкие частицы кальция направляют в специальный резервуар, где их после добавления специального склеивающего вещества высушивают, превращая в мел, которым можно рисовать.

необработанный мел из меловых карьеров используют в строительных целях для получения извести.

4,7(54 оценок)
Новые ответы от MOGZ: Химия
logo
Вход Регистрация
Что ты хочешь узнать?
Спроси Mozg
Открыть лучший ответ