М
Молодежь
К
Компьютеры-и-электроника
Д
Дом-и-сад
С
Стиль-и-уход-за-собой
П
Праздники-и-традиции
Т
Транспорт
П
Путешествия
С
Семейная-жизнь
Ф
Философия-и-религия
Б
Без категории
М
Мир-работы
Х
Хобби-и-рукоделие
И
Искусство-и-развлечения
В
Взаимоотношения
З
Здоровье
К
Кулинария-и-гостеприимство
Ф
Финансы-и-бизнес
П
Питомцы-и-животные
О
Образование
О
Образование-и-коммуникации
needhelpneedhelp
needhelpneedhelp
23.11.2021 01:52 •  Химия

Составьте уравнения реакций: 1) гидроксид бария с азотной и серной кислотами. 2) гидроксид меди(2 вал) с азотной и серной кислоой.

👇
Ответ:
mrredrussiap06j9h
mrredrussiap06j9h
23.11.2021

я незнаю может правильно а может нет может быть кто-нибудь еще решение выставит


Составьте уравнения реакций: 1) гидроксид бария с азотной и серной кислотами. 2) гидроксид меди(2 ва
4,6(95 оценок)
Ответ:
Vitaliano2004
Vitaliano2004
23.11.2021

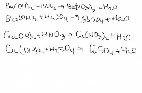
1) Ba(OH)2 + 2HNO3 = Ba(NO3)2 + 2H2O

    Ba(OH)2 + H2SO4 = BaSO4 + 2H2O

 

2) Cu(OH)2 + 2HNO3 = Cu(NO3)2 + 2H2O

    Cu(OH)2 + H2SO4 = CuSO4 + 2H2O

4,7(95 оценок)
Открыть все ответы
Ответ:
Nastyabro1111
Nastyabro1111
23.11.2021

А. Печать фотографий относится к физическим явлениям.  

Б. Разложение воды на водород и кислород относится к химическим явлениям.  

3) верны оба суждения;

2. Верны ли суждения о явлениях? ответ поясните.

А. Разлив нефти относится к химическим явлениям.

Б. Смешение масла с водой относится к физическим явле-ниям.

2) верно только Б;


3. Верны ли суждения о явлениях? ответ поясните.

А. Горение спирта относится к химическим явлениям.

Б. Воспламенение спички относится к физическим явлени-ям.

1) верно только А;

физические явления, проис-ходящих в растениях (по одному примеру). Какие характерные признаки химических реакций наблюдаются в них?

Опадание листьев это физическое явление.

Изменение цвета листьев из зеленных к желтым, оранжевым.

5. Приведите пример любой химической реакции. Опре-делите исходные вещества и продукты реакции.  

2H₂ + O₂ =2H₂O

Водород соединяется с кислородом образуется вода.

4,5(4 оценок)
Ответ:
Nalasinskaya
Nalasinskaya
23.11.2021

б відстоювання. Наприклад вода в озері зверху чистіша ніж знизу, тому що вона відстояна, все інше "пішло на дно"

б фільтрування. Та ж сама вода не фільтрується сама по собі. З біології ми знаємо про кругообіг води в природі. Тому коли вода випадає дощем, то просочується через шар глини піску каміння і тд. Таким чином вона стає чистою і ми можемо її пити, додатково прокип'ятивши.

б випарювання. Добре відома нам вода постійно випаровується. Але в собі вона мала домішки, які залишаються на поверхні, а вода в вигляді пари піднімається вгору.

4,4(33 оценок)
Это интересно:
Новые ответы от MOGZ: Химия
logo
Вход Регистрация
Что ты хочешь узнать?
Спроси Mozg
Открыть лучший ответ