М
Молодежь
К
Компьютеры-и-электроника
Д
Дом-и-сад
С
Стиль-и-уход-за-собой
П
Праздники-и-традиции
Т
Транспорт
П
Путешествия
С
Семейная-жизнь
Ф
Философия-и-религия
Б
Без категории
М
Мир-работы
Х
Хобби-и-рукоделие
И
Искусство-и-развлечения
В
Взаимоотношения
З
Здоровье
К
Кулинария-и-гостеприимство
Ф
Финансы-и-бизнес
П
Питомцы-и-животные
О
Образование
О
Образование-и-коммуникации
dina0585
dina0585
09.04.2020 05:41 •  Химия

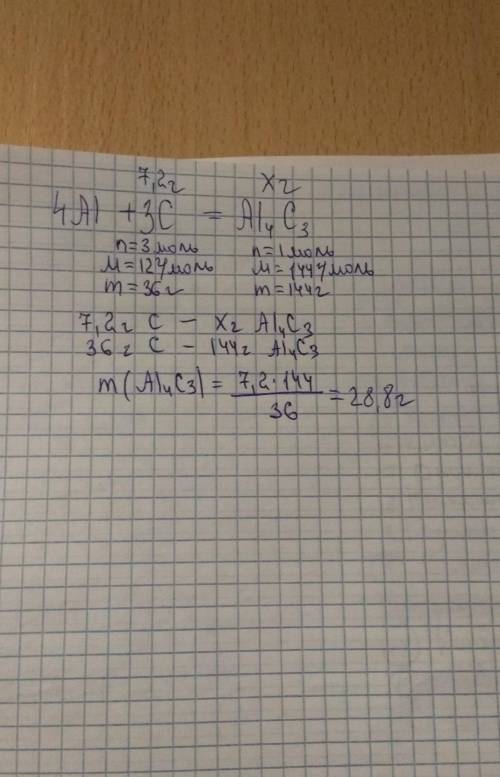
При взаимодействии алюминия с углеродом образуется карбид алюминия:
4Al + 3C → Al4C3.

Вычисли, какая масса карбида алюминия образуется, если с алюминием прореагируют 7,2 г углерода.

ответ приведи с точностью до второго знака после запятой.
ответ: m(Al4C3)=

👇
Ответ:
YaroslavShevchuk
YaroslavShevchuk
09.04.2020

ответ смотри во вложении


При взаимодействии алюминия с углеродом образуется карбид алюминия: 4Al + 3C → Al4C3. Вычисли, какая
4,6(29 оценок)
Открыть все ответы
Ответ:
Maksim3131
Maksim3131
09.04.2020

Дано:

m(Cu)=59г.

m(раствора HNO₃)=120г.

ω%(HNO₃)=15%

Vm=22,4л./моль

V(NO)-?

1. M(Cu)=64г./моль, n₁(Cu)=m(Cu)÷ M(Cu)=54г.÷64г./моль=0,8моль

2. Определим массу азотной кислоты в растворе 120г с массовой долей 15%:

m(HNO₃)=ω%(HNO₃)×m(раствора HNO₃)÷100%=15%×120г.÷100%=18г.

3. M(HNO₃)=63г./моль,

n₁(HNO₃)=m(HNO₃)÷M(HNO₃)=18г.÷63г./моль=0,3моль

4. 3Cu+8HNO₃=3Cu(NO₃)₂+2NO+4H₂O

по уравнению реакции:

n(Сu)=3моль n(HNO₃)=8моль

по условию задачи:

n₁(Сu)=0,8моль n₁(HNO₃)=0,3моль

В действительности потребуется n₁(HNO₃)=2,1моль азотной кислоты, значит азотная кислота  дана в недостатке. Дальше задачу решаем, используя данные по азотной кислоте:

по уравнению реакции:

n(HNO₃)=8моль  n(NO)=2моль

по условию задачи:

n₁(HNO₃)=0,3моль   n₁(NO)=0,08моль

5. Определим объем оксида азота(ll) количеством вещества 0,08моль:

V(NO₂)= n₁(NO)xVm=0,08моль

х22,4л./моль=1,79л.

6. ответ: при взаимодействии меди массой 59 г с 120 г 15% раствором азотной кислоты образуется 1,79л.оксида азота(ll).

4,4(70 оценок)
Ответ:
alexandrafortun
alexandrafortun
09.04.2020

Дано:

m(Cu)=59г.

m(раствора HNO₃)=120г.

ω%(HNO₃)=15%

Vm=22,4л./моль

V(NO)-?

1. M(Cu)=64г./моль, n₁(Cu)=m(Cu)÷ M(Cu)=54г.÷64г./моль=0,8моль

2. Определим массу азотной кислоты в растворе 120г с массовой долей 15%:

m(HNO₃)=ω%(HNO₃)×m(раствора HNO₃)÷100%=15%×120г.÷100%=18г.

3. M(HNO₃)=63г./моль,

n₁(HNO₃)=m(HNO₃)÷M(HNO₃)=18г.÷63г./моль=0,3моль

4. 3Cu+8HNO₃=3Cu(NO₃)₂+2NO+4H₂O

по уравнению реакции:

n(Сu)=3моль n(HNO₃)=8моль

по условию задачи:

n₁(Сu)=0,8моль n₁(HNO₃)=0,3моль

В действительности потребуется n₁(HNO₃)=2,1моль азотной кислоты, значит азотная кислота  дана в недостатке. Дальше задачу решаем, используя данные по азотной кислоте:

по уравнению реакции:

n(HNO₃)=8моль  n(NO)=2моль

по условию задачи:

n₁(HNO₃)=0,3моль   n₁(NO)=0,08моль

5. Определим объем оксида азота(ll) количеством вещества 0,08моль:

V(NO₂)= n₁(NO)xVm=0,08моль

х22,4л./моль=1,79л.

6. ответ: при взаимодействии меди массой 59 г с 120 г 15% раствором азотной кислоты образуется 1,79л.оксида азота(ll).

4,7(18 оценок)
Новые ответы от MOGZ: Химия
logo
Вход Регистрация
Что ты хочешь узнать?
Спроси Mozg
Открыть лучший ответ