М
Молодежь
К
Компьютеры-и-электроника
Д
Дом-и-сад
С
Стиль-и-уход-за-собой
П
Праздники-и-традиции
Т
Транспорт
П
Путешествия
С
Семейная-жизнь
Ф
Философия-и-религия
Б
Без категории
М
Мир-работы
Х
Хобби-и-рукоделие
И
Искусство-и-развлечения
В
Взаимоотношения
З
Здоровье
К
Кулинария-и-гостеприимство
Ф
Финансы-и-бизнес
П
Питомцы-и-животные
О
Образование
О
Образование-и-коммуникации
крымнаш
крымнаш
07.02.2021 08:56 •  Химия

При электролизе солей в трех опытах за одинаковое время получено:
а) 1,08г серебра; б) 0,635г меди; в) 0,327г цинка. В каких опытах была одинакова сила тока? ответ подтвердите соответствующими расчетами.
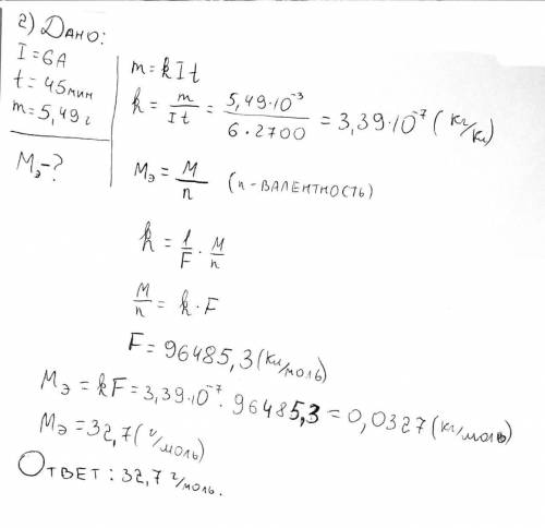
2) Электролиз раствора сульфата некоторого металла проводили при силе тока 6А в течение 45 мин, в результате чего на катоде выделилось 5,49 г металла. Вычислите молярную массу эквивалента металла.

👇
Ответ:
danekhakker
danekhakker
07.02.2021

1) в первом и третьем;

2) 32,7 г/моль

Объяснение: см. фото, только там где "m/k равны" лучше про заряд написать


При электролизе солей в трех опытах за одинаковое время получено: а) 1,08г серебра; б) 0,635г меди;
При электролизе солей в трех опытах за одинаковое время получено: а) 1,08г серебра; б) 0,635г меди;
4,7(79 оценок)
Открыть все ответы
Ответ:
Лизок2020
Лизок2020
07.02.2021
Вольфрам-74 порядковый номер электронов 74.., протонов 74. находится в 6 группе побочной подгруппе , в 6 периоде. металл твердый блестящий, это самый тугоплавкий металл.
хлор-17 порядковый номер, электронов и протонов по 17. находится в 7 группе главной подгруппе в 3 периоде. неметалл, газ.
золото-79 порядковый номер, протонов и электронов по 79. располагается в 1 группе побочной подгруппе , 6 период. металл твердый.
кислород 8 порядковый номер, протонов и электронов по 8. 6 группа главная подгруппа  2 период. неметалл газ
4,4(51 оценок)
Ответ:
priss666
priss666
07.02.2021

Sәлем Pro

Qalynin kalay

Сен менің Марафоныма қатысып жатсыңба

Ол қандай марафон

Ол менің жеке өзімнің тәжірбием бойынша құрылған

[Insta Әalem⭐️

Insta Sәлем⚡️]

Марафонымды бастайын деп жатырмын.

Ол марафонға қатысқанда не үйренеміз

Ол марафонда біз 8-топтан құралған әр түрлі тақырыпта Instagram әлеуметтік желісі бойынша тың вқпараттармен өз парақшаңызды дамутуға көмектесеміз,уйренеміз

Ол марафонда

1)Instagram туралы ьың ақпараттарды білесіз

2)Insta әлеміндегі парақшаңызды әрлеуге көмектесетін 60-идея

3)Парашаңыздағы Био-іңізді қалай тұр жазуды

4)Профильді дұрыс жазумен клиент және подписчик жинаудың 40-идеясы⭐️

5)Актуально ны әрлеу әсемдеу

6)Парақшаңыздың атын жазуға байланысты идеялар

7)История салу және әсемдеу

8)Пост жазуды уйрену

Осылардың барлығын үйренсіз

Осыларды бар жоғы арзан бағада 399₸ Ге уйреннім өз Insta Әлеміңізге қадам жасап дамыңыз

Тіркелу үшін мына номерге жазасыңыз wa.me/77774815464

Тез тез орындар шектеулі

87774815464

4,5(55 оценок)
Новые ответы от MOGZ: Химия
logo
Вход Регистрация
Что ты хочешь узнать?
Спроси Mozg
Открыть лучший ответ