М
Молодежь
К
Компьютеры-и-электроника
Д
Дом-и-сад
С
Стиль-и-уход-за-собой
П
Праздники-и-традиции
Т
Транспорт
П
Путешествия
С
Семейная-жизнь
Ф
Философия-и-религия
Б
Без категории
М
Мир-работы
Х
Хобби-и-рукоделие
И
Искусство-и-развлечения
В
Взаимоотношения
З
Здоровье
К
Кулинария-и-гостеприимство
Ф
Финансы-и-бизнес
П
Питомцы-и-животные
О
Образование
О
Образование-и-коммуникации
malyxd
malyxd
17.08.2020 10:15 •  Химия

1. запишите уравнения реакций ,расставьте коэффиуиенты и укажите тип реакции 1.гидрооксид железа (3)- оксид железа(3)+вода 2нитрат бария +сульфат калия--нитрат калия +сульфат бария 3.серная кислота +цинк-сульфат цинка
+водород 4.магний +кислород--оксид магния

👇
Ответ:
rtydykov
rtydykov
17.08.2020

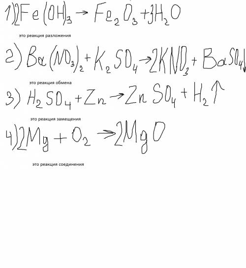
1. 2Fe(OH)3 = Fe2O3 + 3H2O

тип реакции: реакция разложения

2. Ba(NO3)2 + K2SO4 = 2KNO3 + BaSO4

тип реакции: реакция обмена

3. H2SO4 + Zn = ZnSO4 + H2

тип реакции: реакция замещения

4.2Mg + O2 = 2MgO

тип реакции: реакция соединения

4,6(11 оценок)
Ответ:
tupykomiks
tupykomiks
17.08.2020

все реакции расписаны во вложении)))


1. запишите уравнения реакций ,расставьте коэффиуиенты и укажите тип реакции 1.гидрооксид железа (3)
4,7(46 оценок)
Открыть все ответы
Ответ:
Лиро1
Лиро1
17.08.2020

Уравнение реакции:

MgCO₃ + 2HNO₃→ Mg(NO₃)₂ + H₂O + CO₂↑

Найдём молярную массу карбоната натрия: 24+12+16*3=84г/моль, значит количество вещества карбоната магния равно 4,2/84=0,05моль

Найдем молярную массу азотной кислоты: 1+14+16*3=63г/моль, значит количество вещества азотной кислоты будет равно 12,6/63=0,2моль.

Значит в реакцию вступит 0,05моль карбоната магния и 0,1моль азотной кислоты,а оставшиеся 0,1моль азотной кислоты не вступят в реакцию, следовательно образуется 0,05моль углекислого газа, т.к. это газ, значит его объем будет равен 0,05*22,4=1,12л

4,5(47 оценок)
Ответ:
YungTrappa1
YungTrappa1
17.08.2020
Дано:
n(CH₄) = 0,2 моль
Найти:m(CH₄), V(CH₄)
Решение:
M(CH₄) = 12 + 1·4 = 16 г\моль
m(CH₄) = n·M = 0,2 моль · 16г\моль  = 2.8 г
V(CH₄) = Vm·n = 22,4 л\моль · 0,2 моль = 4,48 л
ответ: m(CH₄) = 2,8 г, V(CH₄) = 4,48 л

дано:
n(в-ва) = 0,3 моль
Найти:N(в-ва)
Решение:
N(в-ва) = Na·n = 6,023 · 10²³ моль⁻¹ · 0,3 моль = 1,8· 10²³ молекул
ответ: 1,8· 10²³ молекул

дано:
V(O₂) = 9,8 л
Найти: m(O₂), 
Решение:
M(O₂) = 16·2 = 32 г\моль
n(O₂) = V\Vm = 9,8 л\ 22,4 л\моль=0,4375 моль
m(O₂) = n·M = 0,4375 моль · 32 г\моль  = 14г
ответ: 14 г

Дано:
V(O₃) = 6,72 л
Найти: m(O₃), 
Решение:
n(O₃) = V\Vm = 6,72 л\ 22,4 л\моль=0,3моль
ответ: 0,3 моль
4,8(1 оценок)
Новые ответы от MOGZ: Химия
logo
Вход Регистрация
Что ты хочешь узнать?
Спроси Mozg
Открыть лучший ответ