М
Молодежь
К
Компьютеры-и-электроника
Д
Дом-и-сад
С
Стиль-и-уход-за-собой
П
Праздники-и-традиции
Т
Транспорт
П
Путешествия
С
Семейная-жизнь
Ф
Философия-и-религия
Б
Без категории
М
Мир-работы
Х
Хобби-и-рукоделие
И
Искусство-и-развлечения
В
Взаимоотношения
З
Здоровье
К
Кулинария-и-гостеприимство
Ф
Финансы-и-бизнес
П
Питомцы-и-животные
О
Образование
О
Образование-и-коммуникации
kirill20060729
kirill20060729
13.10.2022 03:58 •  Химия

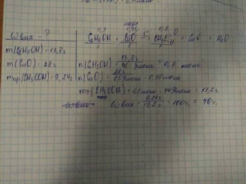
При взаємодії етанолу масою 13,8 г з купрум (II) оксидом масою 28 г добули альдегід, маса якого становила 9,24 г. Визначте масову частку виходу продукту від теоретично можливого.

👇
Ответ:
ivanruzanov553
ivanruzanov553
13.10.2022

70

Объяснение:

на фото


При взаємодії етанолу масою 13,8 г з купрум (II) оксидом масою 28 г добули альдегід, маса якого стан
4,6(60 оценок)
Открыть все ответы
Ответ:
Darwin111
Darwin111
13.10.2022
Используя эти данные можно посчитать молярную концентрацию
C_{M} = \dfrac{1000 \cdot \rho \cdot \omega}{M} = \dfrac{1000 \cdot 1.108 \cdot 0.2}{138} \approx 1.6 \; mol/l
Чтобы посчитать эквивалент этой соли, нужно валентность катиона умножить на индекс катиона: z = 1 * 2 = 2
Теперь считаем молярную концентрацию эквивалента (нормальность)
C_{N} = z \cdot C_{M} = 2 \cdot 1.6 = 3.2 \; mol/l
Допустим объем раствора 1 л, тогда в таком растворе 1,6 моль соли
Считаем массу соли
m = n \cdot M = 1.6 \cdot 138 = 220.8 \; g
Теперь можем посчитать титр (объем в миллилитрах)
T = \dfrac{m}{V_{rastvora}} = \dfrac{220.8}{1000} = 0.2208 \; g/ml
Считаем массу раствора
m = \rho \cdot V = 1.108 \cdot 1000 = 1108 \; g
Считаем массу воды
m(H_{2}O) = m_{rastvora} - m(K_{2}CO_{3}) = 1108 - 220.8 = 887.2 \; g
Считаем моляльность (масса растворителя в килограммах)
C_{m} = \dfrac{n}{m(H_{2}O)} = \dfrac{1.6}{0.8872} = 1.8 \; mol/kg
Считаем количество вещества воды
n = \dfrac{m}{M} = \dfrac{887.2}{18} = 49.29 \; mol
Ну и считаем, наконец, молярную (мольную) долю соли в растворе
\chi = \dfrac{n(K_{2}CO_{3})}{n(K_{2}CO_{3}) + n(H_{2}O)} = \dfrac{1.6}{1.6 + 49.29} \approx 0.0314 \; (3.14\%)
4,7(87 оценок)
Ответ:
Nika152Vika
Nika152Vika
13.10.2022
1) n(CH4) = m / M = 16 / 16 = 1 моль
N(CH4) = NA * n = 6*10^{23}
Следовательно, n(O3) = 1 моль (n = N / NA = 1)
V(O3) = Vm * n = 22,4 * 1 = 22,4 л
ответ: 22,4 л
2) 2Al + 3H2SO4 = Al2(SO4)3 + 3H2
n(H2) = V / Vm = 6,72 / 22,4 = 0,3 моль
n(Al) = (n(H2) / 3) * 2 = 0,2 моль
m(Al) = n * M = 0,2 * 27 = 5,4 г
ответ: 5,4 грамма
3) CH4 не подходит (M(CH4) = 16)
У титана и ниже по группе M выше, чем 32.
Остается только Si (M(Si) = 28)
M(SiH4) = 32 г/моль
ответ: Si
4) M(O2) = 32 г/моль
Значит мы отметаем C, Si, Ti, Ge и даже Zr (из-за их массы)
Проверим SnO2
M(SnO2) = 150 г/моль
M(Sn) = 118,69 г/моль
ω(O2) = 100 - ((118,69 / 150) *100) = 21,34% (приблизительно)
ответ: Sn (олово)
5) У Ca 20 электронов, значит чтобы найти нужный элемент, надо из 20 отнять 4. Получаем 16. Элемент с таким кол-вом электронов называется сера( S ).
ответ: S
4,4(74 оценок)
Новые ответы от MOGZ: Химия
logo
Вход Регистрация
Что ты хочешь узнать?
Спроси Mozg
Открыть лучший ответ