М
Молодежь
К
Компьютеры-и-электроника
Д
Дом-и-сад
С
Стиль-и-уход-за-собой
П
Праздники-и-традиции
Т
Транспорт
П
Путешествия
С
Семейная-жизнь
Ф
Философия-и-религия
Б
Без категории
М
Мир-работы
Х
Хобби-и-рукоделие
И
Искусство-и-развлечения
В
Взаимоотношения
З
Здоровье
К
Кулинария-и-гостеприимство
Ф
Финансы-и-бизнес
П
Питомцы-и-животные
О
Образование
О
Образование-и-коммуникации
ЛимАнель
ЛимАнель
28.08.2020 01:37 •  Химия

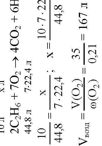
Вычислите объём кислорода (н.у.), необходимый для сжигания 120 г этана.

👇
Ответ:
nastyapetrova011
nastyapetrova011
28.08.2020

как то так ...................


Вычислите объём кислорода (н.у.), необходимый для сжигания 120 г этана.
Вычислите объём кислорода (н.у.), необходимый для сжигания 120 г этана.
4,7(10 оценок)
Открыть все ответы
Ответ:
ijezz
ijezz
28.08.2020

У таблиці наведена порівняльна характеристика властивостей органічних і неорганічних сполук

Властивість

Органічні сполуки

Неорганічні сполуки

Переважний тип хімічного зв’язку

Ковалентний слабополярний

Іонний, ковалентний сильнополярний

Температури плавлення й кипіння

У більшості випадків низькі, до +350 °С

Високі, зазвичай понад +600 °С

Стійкість при високих температурах

Зазвичай розкладаються на більш прості речовини при температурі близько 300 450 °С

Більшість сполук стійкі до кількох тисяч градусів

Розчинність

Добре розчиняються в деяких органічних розчинниках, рідко — у воді

Більшість розчинні у воді

Електричні властивості

Майже всі сполуки — діелектрики і їхні розчини — неелектроліти

Багато речовин добре проводять електричний струм, багато з них у розчиненому або розплавленому стані є електролітами

Швидкість протікання обмінних реакцій

Повільна

Швидка

Поширеність

У живій природі (флора й фауна)

У неживій природі (атмосфера, гідросфера, літосфера)

4,4(39 оценок)
Ответ:
sergey1234567891011
sergey1234567891011
28.08.2020

хімія – наука про природу, яка вивчає молекулярно-атомарні перетворення речовин, тобто перетворення, при яких молекули одних речовин руйнуються, а на їх місці утворюються молекули інших речовин з новими властивостями.

Але, що є хімія для нас? Яку роль вона відіграє для життя? По-перше, це наше життя – все, що ми відчуваємо, бачимо навколо, та й самі складаємося з хімічних речовин, які постійно реагують між собою. Віруси, мурашки, люди, планети, зірки, галактики – все у світі складається з хімічних елементів. По суті, увесь Всесвіт є дуже великим і дуже складним хімічним реактором. По-друге – це найважливіша галузь економіки. Немає такої промисловості, в якій не була б задіяна хімія і розвиток якої не залежав би від досягнень у цій галузі. По-третє – глобальні проблеми, що нині стоять перед нашою планетою (забруднене середовище, глобальне потепління, енергетична криза), можуть вирішити на практиці лише хіміки різних спеціальностей.

4,6(14 оценок)
Это интересно:
Новые ответы от MOGZ: Химия
logo
Вход Регистрация
Что ты хочешь узнать?
Спроси Mozg
Открыть лучший ответ