М
Молодежь
К
Компьютеры-и-электроника
Д
Дом-и-сад
С
Стиль-и-уход-за-собой
П
Праздники-и-традиции
Т
Транспорт
П
Путешествия
С
Семейная-жизнь
Ф
Философия-и-религия
Б
Без категории
М
Мир-работы
Х
Хобби-и-рукоделие
И
Искусство-и-развлечения
В
Взаимоотношения
З
Здоровье
К
Кулинария-и-гостеприимство
Ф
Финансы-и-бизнес
П
Питомцы-и-животные
О
Образование
О
Образование-и-коммуникации
Satana04
Satana04
18.04.2020 23:22 •  Химия

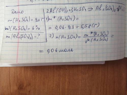
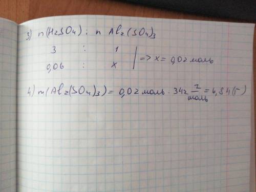
Вычислите массу соли, образовавшейся при взаимодействии 93 г 6% раствора серной кислоты с гидроксидом алюминия.​

👇
Ответ:
Бригман
Бригман
18.04.2020

Решение представлено на фото


Вычислите массу соли, образовавшейся при взаимодействии 93 г 6% раствора серной кислоты с гидроксидо
Вычислите массу соли, образовавшейся при взаимодействии 93 г 6% раствора серной кислоты с гидроксидо
4,5(40 оценок)
Открыть все ответы
Ответ:
юра13t4
юра13t4
18.04.2020
Универсальный индикаторДля определения pH раствора используются разные методы. Применяются различные индикаторы, изменяющие свою окраску в зависимости от содержания ионов водорода в растворе. Может использоваться универсальная индикаторная бумага, которая пропитана смесью кислотно-основных индикаторов с большим интервалом изменения окраски. Для универсальной индикаторной бумаги существует шкала, на которую нанесены цвета, соответствующие содержанию ионов водорода в растворе в пределах изменения pH от 1 до 14.
4,6(25 оценок)
Ответ:
Пенёк155
Пенёк155
18.04.2020


1)  2NH4Cl + Ba(OH)2 = BaCl2 + 2NH3 + 2H2O

2NH(+) + 2Cl(-) + Ba(+2) + 2OH(-) = Ba(+2) + 2Cl(-) + 2NH3 + 2H2O

2NH4(+) + 2OH(-) = 2NH3 + 2H2O

2) 4Al + 3O2 = 2Al2O3      Al - алюминий, металл, O2 - кислород, неметалл, Al2O3 - оксид алюминия, амфотерный оксид

   Al2O3 + 6HCl =2 AlCl3 + 3H2O  HCl - соляная кислота, кислота   AlCl3 - хлорид алюминия, основная соль,  H2O - вода

 AlCl3 +3NaOH = Al(OH)3 + 3NaCl  NaOH- гидроксид натрия, основания   Al(OH)3 - гидроксид алюминия, основания     NaCl - хлорид натрия, средняя соль

   

4,4(28 оценок)
Это интересно:
Новые ответы от MOGZ: Химия
logo
Вход Регистрация
Что ты хочешь узнать?
Спроси Mozg
Открыть лучший ответ