М
Молодежь
К
Компьютеры-и-электроника
Д
Дом-и-сад
С
Стиль-и-уход-за-собой
П
Праздники-и-традиции
Т
Транспорт
П
Путешествия
С
Семейная-жизнь
Ф
Философия-и-религия
Б
Без категории
М
Мир-работы
Х
Хобби-и-рукоделие
И
Искусство-и-развлечения
В
Взаимоотношения
З
Здоровье
К
Кулинария-и-гостеприимство
Ф
Финансы-и-бизнес
П
Питомцы-и-животные
О
Образование
О
Образование-и-коммуникации
Ням1111
Ням1111
13.09.2020 02:20 •  Химия

Сколько мл 0,1М раствора Na2C2O4 необходимо добавить к 500мл насыщенного водного раствора CaC2O4, чтобы растворимость этой соли
составила 0,1мг/л? Изменением объема раствора пренебречь.
(ответ: V(Na2C2O4) = 14,72 мл). ответ может не совпадать

👇
Ответ:
лох2008
лох2008
13.09.2020

14.716 мл

Объяснение:

Переведем растворимость соли в конечном растворе в моль/л

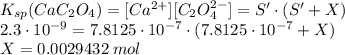
S' = \dfrac{0.0001}{M(CaC_2O_4)} = \dfrac{0.0001}{128} = 7.8125\cdot10^{-7}\;\frac{mol}{l}

Из таблицы произведение растворимости оксалата кальция в воде равно 2.3 · 10⁻⁹

Пусть в раствор добавили Х моль оксалат-ионов в составе оксалата натрия. Тогда имеем следующее

K_{sp}(CaC_2O_4) = [Ca^{2+}][C_2O_4^{2-}] = S' \cdot (S' + X)\\2.3\cdot10^{-9} = 7.8125\cdot10^{-7} \cdot (7.8125\cdot10^{-7} + X)\\X = 0.0029432\;mol

Считаем объем раствора оксалата натрия

V_s(Na_2C_2O_4) = \dfrac{n(Na_2C_2O_4)}{C(Na_2C_2O_4)} = \dfrac{0.0029432}{0.1} = 0.029432\;l

Но, мы до этого момента вели все расчеты на 1 л раствора оксалата кальция, а по условию есть только 500 мл, поэтому раствора оксалата натрия тоже надо вдвое меньше, т.е.

0.029432 / 2 = 0.014716 л или 14.716 мл

4,8(13 оценок)
Открыть все ответы
Ответ:
Petrovaaleksanik
Petrovaaleksanik
13.09.2020

ами́ны — органические соединения, являющиеся производными аммиака, в молекуле которого один, два или три атома водорода замещены на углеводородные радикалы. по числу замещённых атомов водорода различают соответственно первичные (замещён один атом водорода), вторичные (замещены два атома из трёх) и третичные амины (замещены все три атома). выделяют также четвертичные аммониевые соединения вида r4n+x-[1].

по характеру органической группы, связанной с азотом, различают алифатические, ароматические и жирно-ароматические (содержат ароматический и алифатический радикалы) амины. ароматические амины называют анилинами. по числу nh2-групп в молекуле амины делят на моноамины, диамины, триамины либо полиамины[1].

4,4(18 оценок)
Ответ:
MaryOnegina
MaryOnegina
13.09.2020

во все времена служит человеку в его практической деятельности. еще в древности возникли ремесла, в основе которых лежали процессы: получение металла, стекла, керамики, красителей. большую роль играет в современной промышленности. и промышленность являются важнейшими отраслями, без которых невозможно функционирование . среди важнейших продуктов следует назвать кислоты, щелочи, слои, минеральные удобрения, растворители, масла, пластмассы, каучуки и резины, синтетические волокна и многое другое. в настоящее время промышленность выпускает несколько десятков тысяч наименований продукции. исключительно важную роль играют продукты и процессы в энергетике, которая использует энергию реакций. для энергетических целей используются многие продукты переработки нефти (бензин, керосин, мазут) , каменный и бурый уголь, сланц и торф. в связи с уменьшением природных запасов нефти вырабатывается синтетическое топливо путем переработки различного природного сырья и отходов производства. развитие многих отраслей промышленности связано с : металлургия, машиностроение, транспорт, промышленность строительных материалов, электроника, легкая, пищевая промышленность- вот неполный список отраслей , широко использующих продукты и процессы. во многих отраслях применяются методы, например, катализ (ускорение процессов) , обработка металлов, защита металлов от коррозии, очистка воды. большую роль играет в развитии фармацевтической промышленности: основную часть всех лекарственных препаратов получают синтетическим путем. исключительно большое значение имеет в сельском хозяйстве, которое использует минеральные удобрения, средства защиты растений от вредителей, регуляторы роста растений, добавки и консерванты к кормам для животных и другие продукты. использование методов в сельском хозяйстве к возникновению ряда смежных наук, например, и биотехнологии, достижения которых в настоящее время широко применяются в производстве сельскохозяйственной продукции.

4,4(63 оценок)
Новые ответы от MOGZ: Химия
logo
Вход Регистрация
Что ты хочешь узнать?
Спроси Mozg
Открыть лучший ответ