М
Молодежь
К
Компьютеры-и-электроника
Д
Дом-и-сад
С
Стиль-и-уход-за-собой
П
Праздники-и-традиции
Т
Транспорт
П
Путешествия
С
Семейная-жизнь
Ф
Философия-и-религия
Б
Без категории
М
Мир-работы
Х
Хобби-и-рукоделие
И
Искусство-и-развлечения
В
Взаимоотношения
З
Здоровье
К
Кулинария-и-гостеприимство
Ф
Финансы-и-бизнес
П
Питомцы-и-животные
О
Образование
О
Образование-и-коммуникации
ЛераКоролёва13
ЛераКоролёва13
11.06.2021 20:47 •  Химия

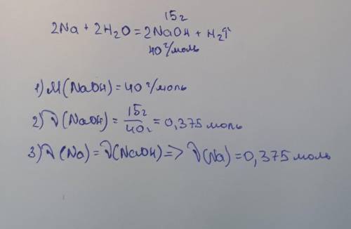
Сколько молей натрия затратится на реакцию взаимодействия с водой, если в результате образовалось 15 граммов щелочи?

👇
Ответ:
ZLATA0061
ZLATA0061
11.06.2021

0,375

Объяснение:

Если что v это ню кол-во вва


Сколько молей натрия затратится на реакцию взаимодействия с водой, если в результате образовалось 15
4,4(67 оценок)
Открыть все ответы
Ответ:
marinnka09
marinnka09
11.06.2021

Munca grea înseamnă literalmente dragoste pentru muncă. Dar ei înțeleg lucruri diferite prin acest termen. Poate fi stăpânirea persistentă a noilor cunoștințe și abilități, poate fi perseverență atunci când faci temele, poate fi dorința de a obține ceva, de a obține un rezultat, indiferent de dificultățile cu care te confrunți. O persoană muncitoare merge întotdeauna înaintea restului planetei, reușește în toate și reușește în toate. Nu pentru că este cel mai talentat, ci pentru că este cel mai persistent. Deci munca grea este o calitate neobișnuit de utilă, care nu apare de nicăieri și brusc, ci se dezvoltă de-a lungul anilor. Dezvoltarea muncii grele este puternic influențată de succesul muncii, atunci când o persoană începe să se bucure de rezultatul activității sale, devine interesată să obțină rezultate, încearcă să se rănească ca un tort, dar să facă ce vrea. Un rol important în munca asiduă îl joacă entuziasmul și spiritul competiției, atunci când o persoană visează să treacă înaintea altuia, să facă treaba mai bine și mai repede, iar aici laudele joacă un rol important, care nu numai că mărește stima de sine a unei persoane, ci și stimulează și mai mult munca sa grea, servind ca simbol al aprobării celorlalți.

Și aș dori, de asemenea, să spun despre un moment atât de important ca tranziția de la cantitate la calitate, un principiu care funcționează întotdeauna și peste tot. Dacă ceva nu funcționează pentru dvs., faceți-l mai des și mai mult și cu siguranță va funcționa.

4,4(2 оценок)
Ответ:
алисатян2
алисатян2
11.06.2021

1 HNO3, K2CO3, Fe(OH)2, CuO, H2SO3

3. KCl+NaOH=KOH+NaCl

4 CuSO4 --> Cu(OH)2 --< CuO --> CuCl2 --> Cu

1) CuSO4+2NaOH=Cu(OH)2(стрелка вниз, осадок)+Na2SO4

2)Cu(OH)2 +K2O=CuO+2KOH

3)CuO+2KCl=CuCl2+K2O

4)CuCl2+Na= NaCl+Cu(стрелка вниз)


5.

1) CaCO3 = t = CaO + CO2↑

(2) 2KOH + CO2 = K2CO3 + H2O

1) n (CaCO3) = m (CaCO3) / M (CaCO3) = 10 / 100 = 0,1 моль

2) по уравнению реакции (1) : n (CO2) = n (CaCO3) = 0,1 моль

3) по уравнению реакции (2) : n (K2CO3) = n (CO2) = 0,1 моль

4) m (K2CO3) = n (K2CO3) * M (K2CO3) = 0,1 * 138 = 13,8 г

ответ: m (K2CO3) = 13,8

4,8(16 оценок)
Это интересно:
Новые ответы от MOGZ: Химия
logo
Вход Регистрация
Что ты хочешь узнать?
Спроси Mozg
Открыть лучший ответ