М
Молодежь
К
Компьютеры-и-электроника
Д
Дом-и-сад
С
Стиль-и-уход-за-собой
П
Праздники-и-традиции
Т
Транспорт
П
Путешествия
С
Семейная-жизнь
Ф
Философия-и-религия
Б
Без категории
М
Мир-работы
Х
Хобби-и-рукоделие
И
Искусство-и-развлечения
В
Взаимоотношения
З
Здоровье
К
Кулинария-и-гостеприимство
Ф
Финансы-и-бизнес
П
Питомцы-и-животные
О
Образование
О
Образование-и-коммуникации
sashaboyko999p089tm
sashaboyko999p089tm
25.03.2022 09:46 •  Химия

Определите молекулярную формулу хлорпроизводного бутена, в котором w(H)=3,135%.​

👇
Ответ:
25.03.2022

C4H5Cl3

Объяснение:

Общая формула бутена имеет вид C4H8, но некоторые атомы водорода замещены на хлор

C4HxCly

w(H)=x*Ar(H)/M(C4HxCly)

Составим систему и решим её

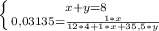
\left \{ {{x+y=8} \atop {0,03135=\frac{1*x}{12*4+1*x+35,5*y} }} \right. \\

x=5

y=3

4,6(48 оценок)
Открыть все ответы
Ответ:

1). В периодах с увеличение заряда ядра металлические свойства уменьшаются, а неметаллические свойства увеличиваються. Например, Молекулы атомов простых веществ в периоде:  От натрия к хлору меняются свойства веществ: натрий, магний - металлы, алюминий -амфотерный металл, кремний полуметалл, фосфор, сера, хлор - неметаллы.

2). Кислотные свойства от брома до меди уменьшаются. Бромистые кислоты сильные, селеновая и мышьяковая слабые, оксиды и гидрооксиды меди и цинка проявляют основный характер.

3).

1)   AI⁰ + O₂⁰ → AI₂⁺³O₃⁻²

AI⁰ - 3e⁻→ AI⁺³         3            4

                                         12

2O⁰ +2x2e⁻→2O⁻²    4            3

AI⁰ восстановитель

O⁰ окислитель

4 AI + 3O₂ = 2AI₂O₃


2)  Cr⁰ + O₂⁰→Cr₂⁺³O₃⁻²

Cr⁰-3e⁻→Cr             3             4

                                      12

2O⁰+2x2e⁻→O⁻²       4             3

Cr⁰ восстановитель

O⁰окислитель

4Cr + 3O₂=2Cr₂O₃

4,6(24 оценок)
Ответ:
kurokislip
kurokislip
25.03.2022

Численное значение валентности определяется количеством неспаренных электронов и наличием свободных атомных орбиталей на внешнем энергетическом уровне.У атома азота на внешнем уровне три неспаренных электрона,значит одна из валентностей,которую проявляет этот атом равна трем. Также он имеет четыре валентных атомных орбитали,за счет которых и может проявлять валентность,равную четырем.Таким образом атом азота пятивалентным быть не может из-за ограниченного числа АО на втором энергетическом уровне. В катионе аммония NH4(+) атом азота имеет степень окисления (-3),а валентность его четыре,так как четвертая ковалентная связь образована по донорно-акцепторному механизму.

4,5(9 оценок)
Новые ответы от MOGZ: Химия
logo
Вход Регистрация
Что ты хочешь узнать?
Спроси Mozg
Открыть лучший ответ