М
Молодежь
К
Компьютеры-и-электроника
Д
Дом-и-сад
С
Стиль-и-уход-за-собой
П
Праздники-и-традиции
Т
Транспорт
П
Путешествия
С
Семейная-жизнь
Ф
Философия-и-религия
Б
Без категории
М
Мир-работы
Х
Хобби-и-рукоделие
И
Искусство-и-развлечения
В
Взаимоотношения
З
Здоровье
К
Кулинария-и-гостеприимство
Ф
Финансы-и-бизнес
П
Питомцы-и-животные
О
Образование
О
Образование-и-коммуникации
Hafs
Hafs
19.07.2022 10:06 •  Химия

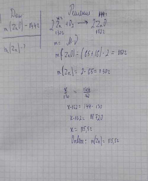
Найдите массу цинка. который израсходовали про реакции с кислородом , если получилось 144г оксида цинка. 2. Алюминий количеством 3 моль прореагировал с серой, какая масса сульфида алюминия получилась.

👇
Ответ:
stardark03
stardark03
19.07.2022

лвбыбьыьвоыддыдвдвjsjjsjskskakks


Найдите массу цинка. который израсходовали про реакции с кислородом , если получилось 144г оксида ци
Найдите массу цинка. который израсходовали про реакции с кислородом , если получилось 144г оксида ци
4,8(61 оценок)
Открыть все ответы
Ответ:
Begli37283
Begli37283
19.07.2022
Хлорид натрия известен в быту под названием поваренной соли, основным компонентом которой он является. Хлорид натрия в значительном количестве содержится в морской воде, создавая её солёный вкус. Встречается в природе в виде минерала галита(каменная соль).Чистый хлорид натрия имеет вид бесцветных кристаллов.Кристаллическая структураКристаллическая решётка хлорида натрия.
Голубой цвет = Na+
Зеленый цвет = Cl−Хлорид натрия образует кристаллы с кубической симметрией. Более крупные ионы хлора образуют плотную кубическую упаковку, в свободных узлах которой (в вершинах правильного октаэдра) расположены ионы натрия.Умеренно растворяется в воде, растворимость мало зависит от температуры: коэффициент растворимости NaCl (в г на 100 г воды) равен 35,9 при 21° С и 38,1 при 80° С. Растворимость хлорида натрия существенно снижается в присутствии хлороводорода, гидроксида натрия, солей — хлоридов металлов. Растворяется в жидком аммиаке, вступает в реакции обмена. 
4,7(97 оценок)
Ответ:
drgotika2011
drgotika2011
19.07.2022
Для определения непредельных углеводородов используют либо реакцию с водным раствором брома, либо с раствором перманганата в кислой среде
1) СH2=CH2 + Br2 = (H2O) CH2Br-CH2Br
2)12KMnO4 + 5CH2=Ch2 + 18H2SO4 = 10CO2 + 28H2O + 6K2SO4 + 12MnSO4
Или если были алкины
3C2H2 + 8KMnO4 = 3KOOC-COOK + 8MnO2 + 2KOH + 2H2O C2H2 + 2Br2 = C2H2Br4 C2H2 + 2[Ag(NH3)2]OH = Ag2C2 + 4NH3 + 2H2O
 В каждом случае происходит обесцвечивание раствора (кроме MnO2 и Ag2C2 там выпадаютосадки) Для определения спирта можно использовать йодоформную пробу либо с металлическим натрием либо с оксидом меди 2(выпадает черный осадок)
1)С2Н5ОН + 6NaОН + 4I2 = CHI3 +HCOONa + 5NaI + H2O (при охлаждении CHI3 выпадает в осадок (желтый))
2)2C2H5OH + 2Na = 2C2H5ONa + H2 (выделение газа)
3)CH3-CH2-OH + CuO =(t) CH3-CHO + Cu + H2O
Для определения жира нужно осуществить щелочной гидролиз и провести качественную реакцию на глицерин
1)(С17Н35СОО)3С3Н5 + 3NaOH = 3C17H35COONa + CH2(OH)-CH(OH)-CH2(OH) 2)2CH2(OH)-CH(OH)-CH2(OH) + Cu(OH)2 =Cu(CH2(OH)-CH2(O)-CH2(OH))2 + 2 H2O
 Для определения белка используют биуреттовую или ксантопротеиновую реакции (OH)C6H4CH(NH2)COOH + HNO3 =(H2SO4) =(OH)C6H3(NO2)CH(NH2)COOH(желтый) + H2O
Белок + CuSO4 + NaOH = красно-фиолетовое окрашивание.
4,4(51 оценок)
Это интересно:
Новые ответы от MOGZ: Химия
logo
Вход Регистрация
Что ты хочешь узнать?
Спроси Mozg
Открыть лучший ответ