М
Молодежь
К
Компьютеры-и-электроника
Д
Дом-и-сад
С
Стиль-и-уход-за-собой
П
Праздники-и-традиции
Т
Транспорт
П
Путешествия
С
Семейная-жизнь
Ф
Философия-и-религия
Б
Без категории
М
Мир-работы
Х
Хобби-и-рукоделие
И
Искусство-и-развлечения
В
Взаимоотношения
З
Здоровье
К
Кулинария-и-гостеприимство
Ф
Финансы-и-бизнес
П
Питомцы-и-животные
О
Образование
О
Образование-и-коммуникации
sofiaivkina84
sofiaivkina84
03.02.2022 09:44 •  Химия

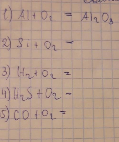
Составьте уравнения химических уравнений.


Составьте уравнения химических уравнений.​

👇
Ответ:
blackmaster2442
blackmaster2442
03.02.2022

Объяснение:

4Al + 3O2 = 2Al2O3

Si + O2 = SiO2

2H2 + O2 = 2H2O

2H2S + 3O2 = 2SO2 + 2H2O

2CO + O2 = 2CO2

4,5(74 оценок)
Открыть все ответы
Ответ:
moderator14
moderator14
03.02.2022
Na2CO3 + 2HCl -> 2NaCl + CO2 + H2O
2Na(+) + CO3(-2) + 2H(+) + 2Cl(-) -> 2Na(+) + 2Cl(-) + CO2 + H2O
CO3(-2) + 2H(+) -> CO2 + H2O

Al(OH)3 + 3HNO3 -> Al(NO3)3 + 3H2O
Al(OH)3 + 3H(+) + 3NO3(-) -> Al(+3) + 3NO3(-) + 3H2O
Al(OH)3 + 3H(+) -> Al(+3) + 3H2O

2AgNO3 + Na2SO4 -> Ag2SO4 + 2NaNO3
2Ag(+) + 2NO3(-) + 2Na(+) + SO4(-2) -> Ag2SO4 + 2Na(+) + 2NO3(-)
2Ag(+) + SO4(-2) -> Ag2SO4

Cu(OH)2 + 2HNO3 -> Cu(NO3)2 + 2H2O
Cu(OH)2 + 2H(+) + 2NO3(-) -> Cu(+2) + 2NO3(-) + 2H2O
Cu(OH)2 + 2H(+) -> Cu(+2)+ 2H2O

CO2 + Ba(OH)2 -> BaCO3 + H2O
CO2 + Ba(+2) + 2OH(-) -> BaCO3 + H2O

Ca(NO3)2 + K2CO3 -> CaCO3 + 2KNO3
Ca(+2) + 2NO3(-) + 2K(+) + CO3(-2) -> CaCO3 + 2K(+) + 2NO3(-)
Ca(+2) + CO3(-2) -> CaCO3

AgNO3 + HCl -> AgCl + HNO3
Ag(+) + NO3(-) + H(+) + Cl(-) -> AgCl + H(+) + NO3(-)
Ag(+) + Cl(-) -> AgCl
4,8(78 оценок)
Ответ:
Zopa43
Zopa43
03.02.2022
1)окисление(горит коптящим пламенем) ну because это органика:D
2.кислотно-основные св-ва:
а)вз-е с водой (напрмер аммиак реагирует с получением гидроксида аммония)
б)вз-е с кислотами
Эти св-ва объясняют влияние радикала на аминогрумму (чем больше радикал тем усиливаются основные св-ва)
3.замещение:
а)галогенирование (получение аминобензола наример) тут объясняется влияние аминогруппы на радикал (смещается электронная плотность)
4.поликондексация(получение полиамидов)
а)получение найлонов (синтетич.волокон)
б)получение кевларов
на этом все
4,7(36 оценок)
Это интересно:
Новые ответы от MOGZ: Химия
logo
Вход Регистрация
Что ты хочешь узнать?
Спроси Mozg
Открыть лучший ответ