М
Молодежь
К
Компьютеры-и-электроника
Д
Дом-и-сад
С
Стиль-и-уход-за-собой
П
Праздники-и-традиции
Т
Транспорт
П
Путешествия
С
Семейная-жизнь
Ф
Философия-и-религия
Б
Без категории
М
Мир-работы
Х
Хобби-и-рукоделие
И
Искусство-и-развлечения
В
Взаимоотношения
З
Здоровье
К
Кулинария-и-гостеприимство
Ф
Финансы-и-бизнес
П
Питомцы-и-животные
О
Образование
О
Образование-и-коммуникации
anya071101
anya071101
10.05.2021 13:27 •  Химия

Cacl2 - ca(no3)2 - ca(po4)2 - cahpo4 - ca(h2po4)2 написать цепочку превращений

👇
Ответ:
kkkkkdashakkkk
kkkkkdashakkkk
10.05.2021

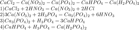
CaCl_2 - Ca(NO_3)_2 - Ca(PO_4)_2 - CaHPO_4 - Ca(H_2PO_4)_2\\1)CaCl_2+2HNO_3=Ca(NO_3)_2+2HCl\\2)3Ca(NO_3)_2+2H_3PO_4=Ca_3(PO_4)_2+6HNO_3\\3)Ca_3(PO_4)_2+H_3PO_4=3CaHPO_4\\4)CaHPO_4+H_3PO_4=Ca(H_2PO_4)_2

4,7(76 оценок)
Ответ:
РусикЛох
РусикЛох
10.05.2021

CaCl2 + 2AgNO3 = 2AgCl↓ + Ca(NO3)2

3Ca(NO3)2 + 2H3PO4 = Ca3(PO4)2 + 6HNO3

Ca3(PO4)2 + H3PO4 = 3CaHPO4

2CaHPO4 + H2SO4(конц.) = Ca(H2PO4)2 + CaSO4

4,5(3 оценок)
Открыть все ответы
Ответ:
Дано:
m (SO2) = 128  г
Найти: n(SO2), N(SO2)
Решение:
M(SO2) = 32 + 16 ∙ 2 = 64 г\моль
n (SO2) = m \M = 128 г\ 64 г\моль = 2 моль
N(SO2) = Na ∙ n =  6,023 ∙ 10 [23] моль ∙ 2 моль = 12,05 ∙ 10[23] молекул
ответ: n(SO2) = 2 моль, N(SO2) = 12,05 ∙ 10[23] молекул    

Дано:
m (NaOH) = 8  г
Найти: n(NaOH), N(NaOH)
 Решение: M(NaOH) = 23 + 16 + 1= 40 г\моль
n (NaOH) = m \M = 8 г\ 40 г\моль = 0,2 моль
N(NaOH) = Na ∙ n =  6,023 ∙ 10 [23] моль ∙ 0,2 моль = 12,05 ∙ 10[23] молекул ответ: n(NaOH) = 0,2 моль, N(NaOH) = 1,2 ∙ 10[23] молекул  
 
Дано:
m (H2SO4) = 49  г
Найти: n(H2SO4), N(H2SO4)
Решение: M(H2SO4) = 1 ∙ 2 + 32 + 16 ∙ 4 = 98 г\моль
n (H2SO4) = m \M = 49 г\ 98 г\моль = 0,5 моль
N(H2SO4) = Na ∙ n =  6,023 ∙ 10 [23] моль ∙ 0,5 моль = 3 ∙ 10[23] молекул
ответ: n(H2SO4) = 0,5 моль, N(H2SO4) = 3 ∙ 10[23] молекул
4,8(100 оценок)
Ответ:
Proyd1
Proyd1
10.05.2021
Дано:
m (SO2) = 128  г
Найти: n(SO2), N(SO2)
Решение:
M(SO2) = 32 + 16 ∙ 2 = 64 г\моль
n (SO2) = m \M = 128 г\ 64 г\моль = 2 моль
N(SO2) = Na ∙ n =  6,023 ∙ 10 [23] моль ∙ 2 моль = 12,05 ∙ 10[23] молекул
ответ: n(SO2) = 2 моль, N(SO2) = 12,05 ∙ 10[23] молекул    

Дано:
m (NaOH) = 8  г
Найти: n(NaOH), N(NaOH)
 Решение: M(NaOH) = 23 + 16 + 1= 40 г\моль
n (NaOH) = m \M = 8 г\ 40 г\моль = 0,2 моль
N(NaOH) = Na ∙ n =  6,023 ∙ 10 [23] моль ∙ 0,2 моль = 12,05 ∙ 10[23] молекул ответ: n(NaOH) = 0,2 моль, N(NaOH) = 1,2 ∙ 10[23] молекул  
 
Дано:
m (H2SO4) = 49  г
Найти: n(H2SO4), N(H2SO4)
Решение: M(H2SO4) = 1 ∙ 2 + 32 + 16 ∙ 4 = 98 г\моль
n (H2SO4) = m \M = 49 г\ 98 г\моль = 0,5 моль
N(H2SO4) = Na ∙ n =  6,023 ∙ 10 [23] моль ∙ 0,5 моль = 3 ∙ 10[23] молекул
ответ: n(H2SO4) = 0,5 моль, N(H2SO4) = 3 ∙ 10[23] молекул
4,7(71 оценок)
Это интересно:
Новые ответы от MOGZ: Химия
logo
Вход Регистрация
Что ты хочешь узнать?
Спроси Mozg
Открыть лучший ответ