М
Молодежь
К
Компьютеры-и-электроника
Д
Дом-и-сад
С
Стиль-и-уход-за-собой
П
Праздники-и-традиции
Т
Транспорт
П
Путешествия
С
Семейная-жизнь
Ф
Философия-и-религия
Б
Без категории
М
Мир-работы
Х
Хобби-и-рукоделие
И
Искусство-и-развлечения
В
Взаимоотношения
З
Здоровье
К
Кулинария-и-гостеприимство
Ф
Финансы-и-бизнес
П
Питомцы-и-животные
О
Образование
О
Образование-и-коммуникации
didi20023
didi20023
22.04.2020 15:57 •  Химия

решить.
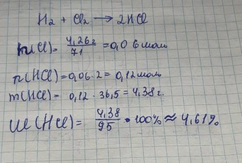
Задача. При взаимодействии 4,26 г хлора с водородом образовался газ хлороводород. При пропускании хлороводорода через 95 г воды получили раствор соляной кислоты. Определить массовую долю кислоты в растворе.

👇
Ответ:
BLASTER11111
BLASTER11111
22.04.2020

Объяснение:

ответ на фото что не понятно спрашивай)


решить. Задача. При взаимодействии 4,26 г хлора с водородом образовался газ хлороводород. При пропу
4,6(11 оценок)
Открыть все ответы
Ответ:
калинка2006
калинка2006
22.04.2020
Сильная, двухосновная кислота, отвечающая высшей степени окисления серы(+6)
При обычных условиях концентрированная серная кислота — тяжёлая маслянистая жидкость без цвета и запаха. В технике серной кислотой называют её смеси как с водой, так и с серным ангидридом SO3. Если молярное отношение SO3:H2O < 1, то это водный раствор серной кислоты, если > 1, — раствор SO3 в серной кислоте (олеум) .
Серная кислота — довольно сильный окислитель, особенно при нагревании и в концентрированном виде; окисляет HI и частично HBr до свободных галогенов, углерод до CO2, S — до SO2, окисляет многие металлы (Cu, Hg и др.) . При этом серная кислота восстанавливается до SO2, а наиболее сильными восстановителями — до S и H2S. Концентрированная H2SO4 частично восстанавливается водородом, из-за чего не может применяться для его сушки. Разбавленная H2SO4 взаимодействует со всеми металлами, находящимися в электрохимическом ряду напряжений левее водорода с его выделением. Окислительные свойства для разбавленной H2SO4 нехарактерны. Серная кислота образует два ряда солей: средние — сульфаты и кислые — гидросульфаты, а также эфиры. Известны пероксомоносерная (или кислота Каро) H2SO5 и пероксодисерная H2S2O8 кислоты.
4,7(86 оценок)
Ответ:
Veranda11
Veranda11
22.04.2020
Се́рная кислота́ H2SO4 — сильная двухосновная кислота, отвечающая высшей степени окисления серы (+6). Чистая серная кислота представляет собой бесцветную маслянистую жидкость, превращающуюся при 10, 4°С в твёрдую кристаллическую массу.Серная кислота обладает поглощать пары воды и поэтому может применяться для осушения газов.Из-за малой летучести серной кислоты её используют для вытеснения других, более летучих кислот из их солей.Серная кислота применяется в производстве минеральных удобрений, для получения разнообразных минеральных кислот и солей, всевозможных органических продуктов, красителей, дымообразующих и взрывчатых веществ, в нефтяной, металлообрабатывающей, текстильной, кожевенной и других отраслях промышленности.Физические свойства:Состояние - жидкость, Молярная масса -0,006 г/мольТермические свойства: Т. плав. 10,38 °С Т. кип. 337 °C
4,6(36 оценок)
Это интересно:
Новые ответы от MOGZ: Химия
logo
Вход Регистрация
Что ты хочешь узнать?
Спроси Mozg
Открыть лучший ответ