М
Молодежь
К
Компьютеры-и-электроника
Д
Дом-и-сад
С
Стиль-и-уход-за-собой
П
Праздники-и-традиции
Т
Транспорт
П
Путешествия
С
Семейная-жизнь
Ф
Философия-и-религия
Б
Без категории
М
Мир-работы
Х
Хобби-и-рукоделие
И
Искусство-и-развлечения
В
Взаимоотношения
З
Здоровье
К
Кулинария-и-гостеприимство
Ф
Финансы-и-бизнес
П
Питомцы-и-животные
О
Образование
О
Образование-и-коммуникации
mebelru
mebelru
21.11.2021 13:38 •  Химия

Водорода который вытесняет цинк массой 13 г из раствора серной кислоты

👇
Ответ:
Danil010805
Danil010805
21.11.2021
Zn +H2SO4 = ZnSO4 + H2
n(Zn) = 13/65 = 0,2 моль
 n(H2) =n(Zn) =  0,2 моль
V(H2) = 0,2*22,4 = 4,48 л
 ответ: 4,48 л
4,4(93 оценок)
Ответ:
Харпааа
Харпааа
21.11.2021
\rm
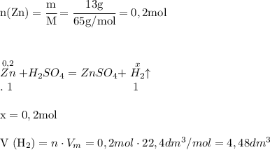
n (Zn)=\cfrac {m}{M}=\cfrac {13 g}{65 g/mol}=0,2 mol \\\\\\\

\mathrm {\stackrel {0,2}{Zn}+H_2SO_4=ZnSO_4+\stackrel{x}{H_2} \uparrow} \\
. \ 1 \ \ \ \ \ \ \ \ \ \ \ \ \ \ \ \ \ \ \ \ \ \ \ \ \ \ \ \ \ \ \ 1 \\
\rm
\\
x=0,2 mol \\

V (H_2)=n \cdot V_m=0,2 mol \cdot 22,4 dm^3/mol=4,48 dm^3
4,7(52 оценок)
Открыть все ответы
Ответ:
www22042004
www22042004
21.11.2021

1) Хлорид натрия и хлорид калия определяют при внесении раствора в пламя горелки. Натрий окрашивает пламя в желтый цвет, а калий в фиолетовый.

2) Дихромат калия и хлорид натрия.

Тут и реакций не нужно никаких не проводить, раствор натрия хлорида бесцветный, дихромата калия - оранжевого цвета

3) Приливаем в каждую пробирку соляную кислоту:

СН₃СООNa + HCl = NaCl + CH₃COOH

Образующаяся уксусная кислота определяется по характерному запаху.

Na₂S + 2HCl = 2NaCl + H₂S↑

выделяющийся сероводород имеет характерный запах тухлых яиц

4,7(15 оценок)
Ответ:
natusy2411
natusy2411
21.11.2021

Примеры наблюдений в области биологии

Долговременные наблюдения

Прорастание семян.

Воздействие удобрений на растения.

Кратковременные наблюдения

Испарение влаги с листьев растений.

Примеры наблюдений в области химии Долговременные наблюдения

Атмосферная коррозия железа.

Образование патины на медных изделиях. Почернение серебряных изделий. Кратковременные наблюдения

Реакция пищевой соды с уксусом.

Разложение перекиси водорода на открытых ранах. Горение свечи.

Примеры наблюдений в области физики Долговременные наблюдения

Диффузия металлов друг в друга.

Эксперимент с каплей асфальта (текучесть асфальта).

Кратковременные наблюдения

Колебания маятника.

Разряд статического электричества.

Падение тел с ускорением свободного падения

4,5(82 оценок)
Новые ответы от MOGZ: Химия
logo
Вход Регистрация
Что ты хочешь узнать?
Спроси Mozg
Открыть лучший ответ