М
Молодежь
К
Компьютеры-и-электроника
Д
Дом-и-сад
С
Стиль-и-уход-за-собой
П
Праздники-и-традиции
Т
Транспорт
П
Путешествия
С
Семейная-жизнь
Ф
Философия-и-религия
Б
Без категории
М
Мир-работы
Х
Хобби-и-рукоделие
И
Искусство-и-развлечения
В
Взаимоотношения
З
Здоровье
К
Кулинария-и-гостеприимство
Ф
Финансы-и-бизнес
П
Питомцы-и-животные
О
Образование
О
Образование-и-коммуникации
ekaterinaborec8
ekaterinaborec8
04.10.2021 11:14 •  Химия

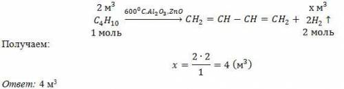
Задание на Какой объем водорода выделяется при получении бутадиена из 2^м3 бутана? Сколько бутана будет потрачено на синтез 240 кг бутадиена?

Сколько бутадиена получится из 50 литров 80% этилового спирта (P раствора = 0,75 г/см3 ) ?

сколько бутадиена получится из 120 литров 42% этилового спирта ( P растрова = 0.5 г/см3 )?

👇
Ответ:
слополоп
слополоп
04.10.2021

вот все решается легко и просто

Объяснение:


Задание на Какой объем водорода выделяется при получении бутадиена из 2^м3 бутана? Сколько бутана бу
4,6(99 оценок)
Открыть все ответы
Ответ:
nata04021980
nata04021980
04.10.2021

Гетерогенные смеси могут различаться по составу и фазовому состоянию, например: газ+жидкость; твердое вещество+жидкость; две несмешивающиеся жидкости и др. Основные разделения смесей представлены на схеме ниже. Рассмотрим каждый отдельно.

Объяснение:

Фильтрование - метод, основанный на различной растворимости веществ и разных размерах частиц компонентов смеси. Фильтрование позволяет отделить твердое вещество от жидкости или газа.

Для разделения гетерогенных смесей, представляющих собой системы твердое тело- жидкость или твердое тело - газ, выделяют три основных

фильтрование,

отстаивание (декантирование,

магнитная сепарация.

4,6(1 оценок)
Ответ:
Rararasa
Rararasa
04.10.2021

1. Металлы: Na, Al, Mg, Ca

Неметаллы: O2, C, Cl2,N2

2. Al:

агрегатное состояние - твердое.

цвет - серый, серебристый.

растворимость в воде - не растворяется.

запах- не имеет

Блеск - имеет блеск

Пластичность и ковкость - имеет (Хорошая пластичность.)

Электропроводность - имеет

(У алюминия электропроводность и теплопроводность одна из самых больших!)

Теплопроводность - имеет

Температура плавления: 660 °C

Температура кипения: 2500 °C

O2:

агрегатное состояние - газообразное

цвет - бесцветный

растворимость в воде - малорастворимый

Запах - без запаха

Блеск - не имеет

Пластичность и ковкость - не имеет

Электропроводность - не имеет

Теплопроводность - не имеет

Температура плавления: −218,35 °C

Температура кипения: −182,98 °C

4,8(44 оценок)
Это интересно:
Новые ответы от MOGZ: Химия
logo
Вход Регистрация
Что ты хочешь узнать?
Спроси Mozg
Открыть лучший ответ