Вход
Регистрация
Спроси Mozg AI
М
Молодежь
К
Компьютеры-и-электроника
Д
Дом-и-сад
С
Стиль-и-уход-за-собой
П
Праздники-и-традиции
Т
Транспорт
П
Путешествия
С
Семейная-жизнь
Ф
Философия-и-религия
Б
Без категории
М
Мир-работы
Х
Хобби-и-рукоделие
И
Искусство-и-развлечения
В
Взаимоотношения
З
Здоровье
К
Кулинария-и-гостеприимство
Ф
Финансы-и-бизнес
П
Питомцы-и-животные
О
Образование
О
Образование-и-коммуникации
.....больше.....
..меньше..
googlman
10.08.2021 21:49 •
Химия
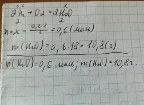
Рассчитайте массу и количество вещества воды, полученной при сгорании в кислороде водорода количеством вещества 0,6 моль. схема реакции: h2 + o2——> h2o
👇
Увидеть ответ
Ответ:
pfbrfyfnfkmz
10.08.2021
Решение на фото. За линией ответ написан
4,5
(76 оценок)
Открыть все ответы
Ответ:
prkf
10.08.2021
ответ: органическое
Тип вещества:
органическое
Брутто-формула (по системе Хилла для органических веществ):
C3H7NO2
Формула в виде текста:
H2NCH2CH2COOH
Молекулярная масса (в а.е.м.): 89,093
Температура плавления (в °C):
196
Температура разложения (в °C):
200
Растворимость (в г/100 г растворителя или характеристика):
ацетон: не растворим [Лит.]
вода: 35,28 (25°C) [Лит.]
диэтиловый эфир: не растворим [Лит.]
хлороформ: не растворим [Лит.]
этанол: 0,022 (25°C) [Лит.]
Плотность:
1,437 (19°C, г/см3, состояние вещества - кристаллы)
4,4
(24 оценок)
Ответ:
Pizetiv4ik
10.08.2021
Дано:
m₁(раствора)=120г.
ω₁%(соли)=10%
m₂(раствора)=380г.
ω₂%(соли)=5%
ω%(соли)-?
Будем использовать формулу ω%=m(вещества)÷m(раствора) ×100%, отсюда мы определим: m(вещества)= ω%×m(раствора) ÷100%
1. Определим массу соли в первом растворе :
m₁(соли)= ω%₁(соли)×m₁(раствора) ÷100%
m₁(соли)=10%×120г.г.÷100%=12г. соли
2.Определим массу соли в втором растворе гидроксида натрия :
m₂(соли)= ω%₂(соли)×m₂(раствора) ÷100%
m₂(соли)=5%×380г.÷100%=19г.
3. Определим общую массу соли:
m(соли)=m₁(соли)+m₂(соли)= 12г.+19г.=31г.
4. Определим массу раствора: m(раствора)=120г.+ 380г=500г.
5. Определим массовую долю нового раствора:
ω%=m(соли)÷m(раствора) ×100%
ω%=31г.÷500г. ×100%=6,2%
6. ответ: при смешивании 120г. раствора с массовой долей 10% и 380г раствора с массовой долей 5% образуется 500г. раствора с массовой долей 6,2%
4,7
(46 оценок)
Это интересно:
К
Компьютеры-и-электроника
14.05.2023
Как переключиться на альбомную или книжную ориентацию экрана на Android...
К
Компьютеры-и-электроника
07.05.2020
Полный гид: как подключить iPad к iTunes за несколько минут...
К
Кулинария-и-гостеприимство
17.03.2023
Как сделать ароматизированный сахар: простые идеи и секреты удачного исполнения...
К
Кулинария-и-гостеприимство
20.02.2020
Как законсервировать свеклу: советы от профессионалов...
Х
Хобби-и-рукоделие
28.04.2022
Как покрасить песок: советы от профессионалов...
З
Здоровье
17.07.2022
Контрацептивный пластырь: как правильно использовать...
Х
Хобби-и-рукоделие
17.07.2021
Игра в бочче: правила и секреты успеха...
Ф
Финансы-и-бизнес
20.08.2021
Как заработать быстрые деньги онлайн: несколько простых и эффективных способов...
О
Образование-и-коммуникации
01.10.2020
Как подготовиться и успешно выступить с речью...
01.04.2023
Беременность и дневник: как вести записи и зачем это нужно?...
Новые ответы от MOGZ: Химия
twinnyXD
19.04.2020
Уравнение реакции крекинга газойль...
amhadovmalik
18.07.2021
О кей объём вуглекислого газу видиливсяпри взаэмодий мурашиной кислоти масою 6г з натрий карбонатом...
TinaAkh
06.07.2022
ТЕРМІНОВО ПОТРІБНО Розчини яких речовин необхідно взяти для виконання таких реакцій: Pb2+ + 2Cl¯ → PbCl2↓ Ag+ + Br¯ → AgBr↓ Cu2+ + 2OH¯ → Cu(OH)2↓ Напишіть рівняння...
Dimoooon12321
31.10.2020
1) оксид углерода (4) + оксид натрия = 2) силикат натрия = (сверху температура над равно) 3) фосфор + кислород = оксид фосфора 4) оксид фосфора (5) + вода...
quipklack
31.10.2020
Сколько г оксида фосфора (v) образуется при взаимодействии фосфора с 64 г кислорода?...
Artemmmmhdjm
31.10.2020
Сколько литров водорода(н.у) выделится в результате реакции, если масса цинка равна 13г?...
надя7488
31.10.2020
Сколько граммов соли образуется в реакции,если количество вещества азотной кислоты рано 0,5 моль...
ттсссс
31.10.2020
Разделить смесь: кусочки железа, соль, крахмал , . заранее ....
Subhinur
31.10.2020
27 ! 8 класс! ! вычислите массу соляной кислоты, реагирующей с 90 г раствора 15% раствора нитрата серебра...
Мосендз
31.10.2020
27 ! 8 класс! ! вычислите массу карбоната натрия взаимодействующего с 25 г 11% раствора соляной кислоты...
MOGZ ответил
сор по биологии о за неправильные или тупой ответ бан...
Каким испытаниям подверглись ромео и джульетта ? Почему Джульетта...
Какую функцию не выполняет перьевой покров птиц...
Выделите основные компоненты сюжетной композиции рассказа В.Набокова...
2. Какая зависимость мощности тела от совершенной им работы? A. Прямопропорциональная...
Задание 4 на правилтный подпишусь ...
. Запиши четыре предложения с фразеологизмами, заменив в них неопределённую...
Решите систему неравенств: 5х2− 9х+4 0, 2х+3 ≥0....
Две прямые касаются окружности с центром О в точках А и В и пересекаются...
В реформации участвовали большинство горожан, крестьян, рыцарей и...
Полный доступ к MOGZ
Живи умнее Безлимитный доступ к MOGZ
Оформи подписку
О НАС
О нас
Блог
Условия пользования
Авторское право
Политика конфиденциальности
Предпочтения cookie-файлов
ПОМОЩЬ
Зарегистрируйся
Центр помощи
Центр безопасности
App
Вход
Регистрация
Что ты хочешь узнать?
Спроси Mozg
Открыть лучший ответ
Решение на фото. За линией ответ написан