М
Молодежь
К
Компьютеры-и-электроника
Д
Дом-и-сад
С
Стиль-и-уход-за-собой
П
Праздники-и-традиции
Т
Транспорт
П
Путешествия
С
Семейная-жизнь
Ф
Философия-и-религия
Б
Без категории
М
Мир-работы
Х
Хобби-и-рукоделие
И
Искусство-и-развлечения
В
Взаимоотношения
З
Здоровье
К
Кулинария-и-гостеприимство
Ф
Финансы-и-бизнес
П
Питомцы-и-животные
О
Образование
О
Образование-и-коммуникации
vladkoblov02
vladkoblov02
22.04.2023 11:28 •  Химия

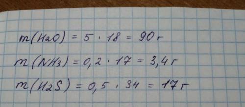
Найти массу 5 молей H2O 0,2 моль NH3 и 0,5 моль H2S

👇
Ответ:

, ответ на Ваш вопрос!

Объяснение:


Найти массу 5 молей H2O 0,2 моль NH3 и 0,5 моль H2S
4,7(47 оценок)
Открыть все ответы
Ответ:
BandiMatrix
BandiMatrix
22.04.2023

Основные признаки современной классификации органических веществ:

1. строение углеродной цепи;

2. природа функциональных групп.

Причиной, почему в основу классификации положены углеводороды, является простота их состава, а также то обстоятельство, что в громадном большинстве известных органических веществ углеводородные радикалы составляют главную часть молекулы.

Остальные органические вещества в органической химии рассматривают как производные углеводородов, образуемые при введении в молекулы углеводородов так называемых функциональных групп, которые содержат другие химические элементы.

4,5(9 оценок)
Ответ:
2839275
2839275
22.04.2023

в дано запишишь 2Cu + O2 -> 2СuO потом будешь считать n=m/M, где n - количество вещества, m - масса вещества, M - молярная масса вещества.

n(Сu) = 9/64 = 0,14 моль

0,14 моль/2 моль -> х моль/2 моль

х=0,14 моль

n(СuO) = 0,14 моль

m=n*M

m(СuO) = 0,14*80 = 11,25 г

ответ: 11,25 г; 0,14 моль

Объяснение:

Реакция взаимодействия двухвалентной меди с кислородом выглядит следующим образом:

2Cu + O2 -> 2СuO

Рассчитаем количество вещества меди II по формуле:

n=m/M, где n - количество вещества, m - масса вещества, M - молярная масса вещества.

n(Сu) = 9/64 = 0,14 моль

Составим пропорцию:

0,14 моль/2 моль -> х моль/2 моль

х=0,14 моль

n(СuO) = 0,14 моль

m=n*M

m(СuO) = 0,14*80 = 11,25 г

ответ: 11,25 г; 0,14 моль

4,5(4 оценок)
Это интересно:
Новые ответы от MOGZ: Химия
logo
Вход Регистрация
Что ты хочешь узнать?
Спроси Mozg
Открыть лучший ответ