М
Молодежь
К
Компьютеры-и-электроника
Д
Дом-и-сад
С
Стиль-и-уход-за-собой
П
Праздники-и-традиции
Т
Транспорт
П
Путешествия
С
Семейная-жизнь
Ф
Философия-и-религия
Б
Без категории
М
Мир-работы
Х
Хобби-и-рукоделие
И
Искусство-и-развлечения
В
Взаимоотношения
З
Здоровье
К
Кулинария-и-гостеприимство
Ф
Финансы-и-бизнес
П
Питомцы-и-животные
О
Образование
О
Образование-и-коммуникации
dany20skribka
dany20skribka
29.10.2021 17:20 •  Химия

Гении этого приложения.Сделать только 2 номер.Кроме кучи получите лучший ответ,для повышения уровня


Гении этого приложения.Сделать только 2 номер.Кроме кучи получите лучший ответ,для повышения уровня

👇
Ответ:
Scuum
Scuum
29.10.2021


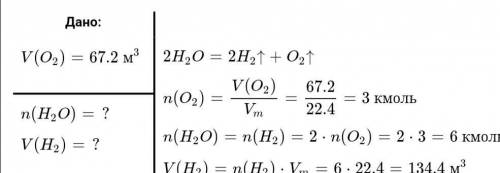
ответ приложен на фотографии


Объяснение:




Гении этого приложения.Сделать только 2 номер.Кроме кучи получите лучший ответ,для повышения уровня
4,4(54 оценок)
Открыть все ответы
Ответ:
Baby1FNAF
Baby1FNAF
29.10.2021
Как щелочной металл натрий во всех реакциях проявляет восстановительные св-ва, так как имея на внешнем уровне только один электрон, он легко его отдает, окисляясь и восстанавливая другие в-ва
2Na + Сl2 = 2NaCl
расставляешь степени окисления над веществами: у Na и Cl2 - 0, так как это простые в-ва, у Na в полученном в-ве с.о. = +1, у хлора с.о. = -1
Окислительно-восстановительный баланс:
2Na (c.o.=0) - 2е(электрона) ---> 2Na (c.o.=+1)    окисление
2Сl (c.o.=0) +2e > 2Cl (c.o. = -1)  восстановление
Натрий окислился (отдал 2 электрона), восстановил хлор, значит в уравнении Na является восстановителем, а хлор наоборот окислителем.
Со сложным в-вом:
2Na + 2H2O = 2NaOH + H2
с.о. натрия вначале 0, потом +1, с.о. водорода сначала+1, потом 0
2Na (0)  - 2e ---> 2Na(+1)  окисление
2H(+1) + 2e ---> 2H(0)  восстановление
натрий - восстановитель, водород - окислитель
4,5(42 оценок)
Ответ:
123у444
123у444
29.10.2021
Как щелочной металл калий во всех реакциях проявляет восстановительные св-ва, так как имея на внешнем уровне только один электрон, он легко его отдает, окисляясь и восстанавливая другие в-ва
2К + Сl2 = 2КCl
расставляешь степени окисления над веществами: у К и Cl2 - 0, так как это простые в-ва, у К в полученном в-ве с.о. = +1, у хлора с.о. = -1
Окислительно-восстановительный баланс:
2К (c.o.=0) - 2е(электрона) ---> 2К (c.o.=+1)    окисление
2Сl (c.o.=0) +2e > 2Cl (c.o. = -1)  восстановление
Калий окислился (отдал 2 электрона), восстановил хлор, значит в уравнении К является восстановителем, а хлор наоборот окислителем.
Со сложным в-вом:
2К + 2H2O = 2КOH + H2
с.о. калий вначале 0, потом +1, с.о. водорода сначала+1, потом 0
2К (0)  - 2e ---> 2К(+1)  окисление
2H(+1) + 2e ---> 2H(0)  восстановление
калий - восстановитель, водород - окислитель
4,8(39 оценок)
Это интересно:
Новые ответы от MOGZ: Химия
logo
Вход Регистрация
Что ты хочешь узнать?
Спроси Mozg
Открыть лучший ответ