М
Молодежь
К
Компьютеры-и-электроника
Д
Дом-и-сад
С
Стиль-и-уход-за-собой
П
Праздники-и-традиции
Т
Транспорт
П
Путешествия
С
Семейная-жизнь
Ф
Философия-и-религия
Б
Без категории
М
Мир-работы
Х
Хобби-и-рукоделие
И
Искусство-и-развлечения
В
Взаимоотношения
З
Здоровье
К
Кулинария-и-гостеприимство
Ф
Финансы-и-бизнес
П
Питомцы-и-животные
О
Образование
О
Образование-и-коммуникации
Julia5415613614
Julia5415613614
30.05.2021 20:16 •  Химия

Объем водорода, который выделится при взаимодействии 4,6 г натрия с этиловым спиртом, равен если можно, то с дано)

👇
Ответ:
nastya190420
nastya190420
30.05.2021
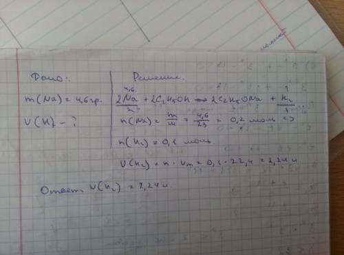
Вот с дано.И с уравнением.
Объем водорода, который выделится при взаимодействии 4,6 г натрия с этиловым спиртом, равен если мож
4,7(88 оценок)
Открыть все ответы
Ответ:
Crazs
Crazs
30.05.2021
Дано:
m(Na₂O)=100г.
H₂SO₄

m(Na₂SO₄)-?
n(Na₂SO₄)-?
1. Определяем молярную массу оксида натрия и его количество вещества в 100г.:
M(Na₂O)=23x2+16=62г./моль
n(Na₂O)=m(Na₂O)÷M(Na₂O)=100г.÷62г./моль=1,61моль
2. Запишем уравнение реакции:
Na₂O + H₂SO₄ = Na₂SO₄ + H₂O
3. Анализируем уравнение реакции: по уравнению реакции из 1моль оксида натрия образуется 1 моть сульфата натрия, значит из 1,61моль оксида натрия образуется тоже 1,61моль сульфата натрия. 
n(Na₂SO₄)= 1,61моль
4. Определим молярную массу сульфата натрия  и его массу количеством вещества 1,61моль.:
M(Na₂SO₄)=23x2+32+16x4=142г./моль
m(Na₂SO₄)= n(Na₂SO₄)xM(Na₂SO₄)=1,61мольх142г./моль=228,62г.
5. ответ: при взаимодействии 100г. оксида натрия с серной кислотой образуется сульфат натрия количеством вещества 1,61моль и массой 228,62г.
4,4(39 оценок)
Ответ:
kaleeva1607
kaleeva1607
30.05.2021
Дано:
m(Na₂O)=100г.
H₂SO₄

m(Na₂SO₄)-?
n(Na₂SO₄)-?
1. Определяем молярную массу оксида натрия и его количество вещества в 100г.:
M(Na₂O)=23x2+16=62г./моль
n(Na₂O)=m(Na₂O)÷M(Na₂O)=100г.÷62г./моль=1,61моль
2. Запишем уравнение реакции:
Na₂O + H₂SO₄ = Na₂SO₄ + H₂O
3. Анализируем уравнение реакции: по уравнению реакции из 1моль оксида натрия образуется 1 моть сульфата натрия, значит из 1,61моль оксида натрия образуется тоже 1,61моль сульфата натрия. 
n(Na₂SO₄)= 1,61моль
4. Определим молярную массу сульфата натрия  и его массу количеством вещества 1,61моль.:
M(Na₂SO₄)=23x2+32+16x4=142г./моль
m(Na₂SO₄)= n(Na₂SO₄)xM(Na₂SO₄)=1,61мольх142г./моль=228,62г.
5. ответ: при взаимодействии 100г. оксида натрия с серной кислотой образуется сульфат натрия количеством вещества 1,61моль и массой 228,62г.
4,7(35 оценок)
Это интересно:
Новые ответы от MOGZ: Химия
logo
Вход Регистрация
Что ты хочешь узнать?
Спроси Mozg
Открыть лучший ответ