М
Молодежь
К
Компьютеры-и-электроника
Д
Дом-и-сад
С
Стиль-и-уход-за-собой
П
Праздники-и-традиции
Т
Транспорт
П
Путешествия
С
Семейная-жизнь
Ф
Философия-и-религия
Б
Без категории
М
Мир-работы
Х
Хобби-и-рукоделие
И
Искусство-и-развлечения
В
Взаимоотношения
З
Здоровье
К
Кулинария-и-гостеприимство
Ф
Финансы-и-бизнес
П
Питомцы-и-животные
О
Образование
О
Образование-и-коммуникации
Эхэхэхэхэхэх
Эхэхэхэхэхэх
19.02.2020 20:53 •  Химия

Кмолекулярному уравнению составьте полное и сокращённое ионномолекулярные уравнения h2so4+ 2koh=k2so4+2h2o

👇
Ответ:
dianaism38
dianaism38
19.02.2020
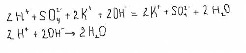
2H+SO4+2K+2OH= 2K+SO4+2H2O
2H+2OH=2H2O
не забудь проставит заряды кроме воды
4,5(53 оценок)
Ответ:
Megorka
Megorka
19.02.2020
Должно быть так
первое полное, второе сокращённое
Кмолекулярному уравнению составьте полное и сокращённое ионномолекулярные уравнения h2so4+ 2koh=k2so
4,6(51 оценок)
Открыть все ответы
Ответ:
BOLYUBASH1337
BOLYUBASH1337
19.02.2020

Объяснение:

А)4/5; Б)3/5; В)5/4; Г) 4/3.

2.Спростіть вираз 1-〖sin⁡ 〗^2 α+〖cos⁡ 〗^2 α.

А)2〖cos⁡ 〗^2 α; Б)-2〖sin⁡ 〗^2 α; В)2; Г)1.

3. Дві сторони трикутника 7м і 9м, а кут між ними дорівнює 60°. Знайдіть третю сторону.

А)√47 м; Б)√193 м; В)√67 м; Г) визначити неможливо.

4. В ∆ABC ∠A=60°,∠B=30°,AB=20см. Знайдіть сторону BC.

А) 20см; Б)20√2 см; В)15см; Г)10√3см.

5. Основа рівнобедреного трикутника дорівнює 8м, а кут між бічними сторонами 60°. Визначте площу трикутника.

А) 32см2; Б)32√3 см2; В)16√3/3 см2; Г) 16√3 см2.

6. В ∆ABC дві сторони 20м і 21м, а синус кута між ними дорівнює 0,6. Знайдіть третю сторону.

4,6(48 оценок)
Ответ:
MariyaKokhonova
MariyaKokhonova
19.02.2020

ответ:Нещодавно учні сьомого класу львівської приватної школи Think Global у межах програми професійно-орієнтаційної роботи серед школярів відвідали заняття з аналітичної хімії. Навчання у цій школі відбувається за дещо специфічною програмою. Курс хімії містить вивчення різних її видів – аналітичної, органічної, загальної.

Викладачі кафедри фізичної, аналітичної та загальної хімії: доцент – Федір Цюпко, асистент Віталій Стаднік і науковий співробітник – Мартин Созанський провели заняття з основ якісного хімічного аналізу, з тетриметричного методу аналізу (це хімічний метод кількісного аналізу). Також учням показали можливості інструментальних методів аналізу, а саме хроматографії – як без хімічних реакцій можна здійснювати якісно-кількісні визначення речовин.

4,7(87 оценок)
Это интересно:
Новые ответы от MOGZ: Химия
logo
Вход Регистрация
Что ты хочешь узнать?
Спроси Mozg
Открыть лучший ответ