М
Молодежь
К
Компьютеры-и-электроника
Д
Дом-и-сад
С
Стиль-и-уход-за-собой
П
Праздники-и-традиции
Т
Транспорт
П
Путешествия
С
Семейная-жизнь
Ф
Философия-и-религия
Б
Без категории
М
Мир-работы
Х
Хобби-и-рукоделие
И
Искусство-и-развлечения
В
Взаимоотношения
З
Здоровье
К
Кулинария-и-гостеприимство
Ф
Финансы-и-бизнес
П
Питомцы-и-животные
О
Образование
О
Образование-и-коммуникации
szaikin
szaikin
04.02.2022 10:31 •  Химия

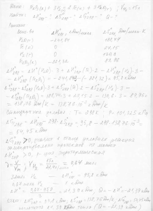
Решить билет 1. пользуясь справочными данными рассчитайте тепловой эффект , изменение энтропии и свободной энергии гиббса при стандартных условиях следующей реакции : fe2o3(к)+3h2(г)=2fe(к)+3h2o(г) 2.определите тип реакции (экзо или эндотермическая ) , ответ аргументируйте . сделайте вывод о возможности протекания этой реакции в прямом направлении . 3.определите тепловой эффект , если было затрачено 15л водорода (н.у.) ?

👇
Ответ:
122599baikal
122599baikal
04.02.2022
Решение задачи во вложении
Решить билет 1. пользуясь справочными данными рассчитайте тепловой эффект , изменение энтропии и сво
4,6(72 оценок)
Открыть все ответы
Ответ:
baandas
baandas
04.02.2022
Выражение для константы равновесия:
K = [SO₂]*[Cl₂] / [SO₂Cl₂]
а) так как реакция экзотермическая (ΔH < 0), то при понижении температуры равновесие сместится вправо, в сторону образования продуктов;
б) SO₂Cl₂(г)⇔SO₂(г)+Cl₂(г)  - данная реакция идет с увеличением объема газов -до равно 1 моль, после равно 1vмоль SO2 и 1мольCl2 , т. е 2 моль. Давление в системе соответственно возрастает. Значит понижние давления, согласно принципу Ле-Шателье, сместит равновесие вправо, в сторону продуктов реакции;
в)При повышении концентрации продукта реакции Сl2, равновесие сместится в сторону его разложения, то есть влево, в сторону исходных реагентов
4,8(11 оценок)
Ответ:
Darishka22
Darishka22
04.02.2022
Выражение для константы равновесия:
K = [SO₂]*[Cl₂] / [SO₂Cl₂]
а) так как реакция экзотермическая (ΔH < 0), то при понижении температуры равновесие сместится вправо, в сторону образования продуктов;
б) SO₂Cl₂(г)⇔SO₂(г)+Cl₂(г)  - данная реакция идет с увеличением объема газов -до равно 1 моль, после равно 1vмоль SO2 и 1мольCl2 , т. е 2 моль. Давление в системе соответственно возрастает. Значит понижние давления, согласно принципу Ле-Шателье, сместит равновесие вправо, в сторону продуктов реакции;
в)При повышении концентрации продукта реакции Сl2, равновесие сместится в сторону его разложения, то есть влево, в сторону исходных реагентов
4,7(29 оценок)
Новые ответы от MOGZ: Химия
logo
Вход Регистрация
Что ты хочешь узнать?
Спроси Mozg
Открыть лучший ответ