М
Молодежь
К
Компьютеры-и-электроника
Д
Дом-и-сад
С
Стиль-и-уход-за-собой
П
Праздники-и-традиции
Т
Транспорт
П
Путешествия
С
Семейная-жизнь
Ф
Философия-и-религия
Б
Без категории
М
Мир-работы
Х
Хобби-и-рукоделие
И
Искусство-и-развлечения
В
Взаимоотношения
З
Здоровье
К
Кулинария-и-гостеприимство
Ф
Финансы-и-бизнес
П
Питомцы-и-животные
О
Образование
О
Образование-и-коммуникации
Leranikitina199
Leranikitina199
12.04.2023 05:37 •  Химия

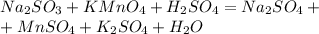
Уравнять овр, используя метод электронно-ионного . указать вещество-окислитель и вещество восстановитель. na2so3+kmno4+h2so4=na2so4+mnso4+k2so4+h2o

👇
Ответ:
fyz070504
fyz070504
12.04.2023
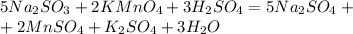
Na _{2} SO _{3} +KMnO _{4} +H _{2} SO _{4} =Na _{2} SO _{4} + \\ +MnSO _{4} +K _{2} SO _{4} +H _{2} O

Na ^{+1} _{2} S ^{+4} O ^{-2} _{3} +K ^{+1} Mn ^{+7} O ^{-2} _{4} +H^{+1} _{2} S ^{+6} O ^{-2} _{4} =Na ^{+1} _{2} S ^{+6} O ^{-2} _{4} + \\ +Mn ^{+2} S ^{+6} O ^{-2} _{4} +K ^{+1} _{2} S ^{+6} O^{-2} _{4} +H^{+1} _{2} O ^{-2}

S⁺⁴-2e⁻=S⁺⁶         | 2          | окислитель 
                          |       10  |
Mn⁺⁷+5e⁻=Mn⁺²    | 5          |  восстановитель
5Na _{2} SO _{3} +2KMnO _{4} +3H _{2} SO _{4} =5Na _{2} SO _{4} + \\ +2MnSO _{4} +K _{2} SO _{4} +3H _{2} O
4,6(60 оценок)
Открыть все ответы
Ответ:
natka012
natka012
12.04.2023
Извествно, что разбавленная азотная кислота даёт NO. Концентрированная азотная кислота преимущественно дёт NO2.
Cu + 4 HNO3 = Cu(NO3)2 + 2 NO2 + 2 H2O
Молекулярная масса HNO3 63,01, а у меди 63,5 - вообще говоря примерно одинаковое значение, таким образом очевидно, что медь в избытке.
Это меняет дело. Вообще говоря это говорит о некоррекности задачи, поскольку реакция начнётся с выделением NO2, а закончится выделением NO2.
Очевидно, создатели задачи не думали о подобном осложнении и попросту имели в виду реакцию меди с азотной кислотой, которая обычно идёт с разбавленной кислотой:
3 Cu + 8 HNO3 = 3 Cu(NO3)2 + 2 NO + 4 H2O
Опять-же, не слишком смышлённые создатели этой задачи позаботились о том, чтобы сказать, что медь только 90% (повидимому автоматически полагая, что 10% не реагирует с кислотой - обычно это не так!) , однако повидимому серьёзно полагают, что азотная кислота прореагировала без остатка (что практически невозможно из-за образования твёрдых солей) . Однако нужно считать, что вся кислота была потрачена в реакции, поскольку медь в избытке.
Таким образом для решения задачи нужно считать, что 560 г 100% азотной кислоты прореагировало по второму уравнению, т. е. произвела 2 моль NO на 8 моль HNO3. 560 г азотной кислоты - 560/63 = 8.89 моль, следовательно выделится 2,22 моль NO, что занимает объём 2,22х22,4 = 49.8 литра NO
4,7(83 оценок)
Ответ:
SMokKK
SMokKK
12.04.2023

6 класс(естествознание)

-

Простые и сложные вещества.

pH индикатор.Кислотность среды.

-

7 класс(химия)

1.Массовая доля.

2.Нахождение массовой доли по формуле.

3.Агрегатные состояния веществ.

4.Строение атома.

5.ПСХЭ.

6.Относительная атомная масса.

7.Относительная молекулярная масса.

8.Молярная масса.

-

8 класс(химия)

1.Электронная конфигурация атома.

2.Химические уравнения.

3.Металлы.

4.Неметаллы.

5.Количество вещества.Моль.

6.Расчётные задачи по химическим уравнениям.

7.Постоянная авогадро.

8.Объём.

9.Химическая связь.

10.Типы химических уравнений.

11.Кристаллические решётки.

12.Электроотрицательность.

13.Окисление и восстановление.

14.Клас

-сы неорганических веществ

9 класс(химия)

1.ОВР

2.Термохимические уравнения

3.Расчётные задачи по термохимическим уравнениям.

4.Эндо-и Экзотермические уравнения.

5.Скорость химических уравнений.

6.Смещение равновесия.

7.Ионные уравнения.

8.Энтальпия и энтропия.

9.Закон Гиббса.

10.Введение в органическую химию.

-

10 класс(химия)

1.Изомерия

2.Номенклатура

3.ИЮПАК

4.Углеводороды.

5.Гомологи.

6.Алканы.

7.Алкены.

8.Алкины.

9.Спирты.

10.Карбоновые кислоты.

11.Альдегиды.

-

11 класс(продолжение органической химии и биохимии).

4,5(50 оценок)
Это интересно:
Новые ответы от MOGZ: Химия
logo
Вход Регистрация
Что ты хочешь узнать?
Спроси Mozg
Открыть лучший ответ