М
Молодежь
К
Компьютеры-и-электроника
Д
Дом-и-сад
С
Стиль-и-уход-за-собой
П
Праздники-и-традиции
Т
Транспорт
П
Путешествия
С
Семейная-жизнь
Ф
Философия-и-религия
Б
Без категории
М
Мир-работы
Х
Хобби-и-рукоделие
И
Искусство-и-развлечения
В
Взаимоотношения
З
Здоровье
К
Кулинария-и-гостеприимство
Ф
Финансы-и-бизнес
П
Питомцы-и-животные
О
Образование
О
Образование-и-коммуникации
arisha20003000
arisha20003000
28.01.2022 04:23 •  Химия

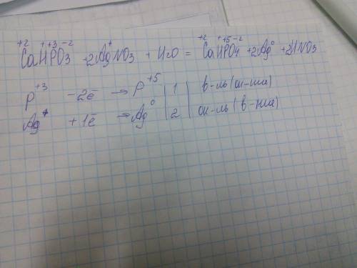
Составить уравнение электронного и расставить коэффициенты. cahpo3 + agno3 + h2o =cahpo4 + ag + hno3

👇
Ответ:
Zhenya12123
Zhenya12123
28.01.2022
Решение на фотографии
Составить уравнение электронного и расставить коэффициенты. cahpo3 + agno3 + h2o =cahpo4 + ag + hno3
4,7(35 оценок)
Открыть все ответы
Ответ:
angelina20172
angelina20172
28.01.2022

ответ:Диаграмма состояний железо - углерод дает основное представление о строении железоуглеродистых сплавов - таких как сталей и чугунов. Обычно сталью, а тем более, чугуном называют сплавы железа с углеродом. Если в сплаве находится менее 2.14% С, то такой сплав называется сталью, если более 2.14% С - то чугуном.

Объяснение:Диаграмма состояний железо - углерод дает основное представление о строении железоуглеродистых сплавов - таких как сталей и чугунов. Обычно сталью, а тем более, чугуном называют сплавы железа с углеродом. Если в сплаве находится менее 2.14% С, то такой сплав называется сталью, если более 2.14% С - то чугуном.

4,8(23 оценок)
Ответ:
angelinaosadchy
angelinaosadchy
28.01.2022

1. У любого газа 1 моль имеет объем 22,4 л. В 4 молях углекислого газа (CO) содержится: 4•22,4=89,6 л. ответ: в 4 молях CO = 89,6 л

3. Вычислить относительную плотность CH4 (метан) по H2(водород):

D H2 (CH4) = M (CH4) / M (H2) = 16 / 2 = 8. ответ: Относительная плотность метана по водороду составляет 8.

4.Относительная плотность  (D) - это отношение их молярных масс  D= M1/M2  в нашем случае D(Н2) = М/2; М газа = D*2 = 14.5*2=29. ответ: М газа=29.

5. А) H2 + Cl2 = 2HCl → 3) 1: 1: 2

Б) C3H8 + 5O2 = 3CO2 + 4H2O → 4) 1: 5: 3: 4

В) N2 + 3H2 = 2NH3 → 2) 1: 3: 2

Г) 2C2H2 + 5O2 = 4CO2 + 2H2O → 1) 2: 5 : 4 : 2

Поставь как лучший ответ ( Заранее благодарю) !

Надеюсь я очень старалась)

4,4(40 оценок)
Это интересно:
Новые ответы от MOGZ: Химия
logo
Вход Регистрация
Что ты хочешь узнать?
Спроси Mozg
Открыть лучший ответ