М
Молодежь
К
Компьютеры-и-электроника
Д
Дом-и-сад
С
Стиль-и-уход-за-собой
П
Праздники-и-традиции
Т
Транспорт
П
Путешествия
С
Семейная-жизнь
Ф
Философия-и-религия
Б
Без категории
М
Мир-работы
Х
Хобби-и-рукоделие
И
Искусство-и-развлечения
В
Взаимоотношения
З
Здоровье
К
Кулинария-и-гостеприимство
Ф
Финансы-и-бизнес
П
Питомцы-и-животные
О
Образование
О
Образование-и-коммуникации
EeVoNGuY
EeVoNGuY
03.11.2022 11:20 •  Химия

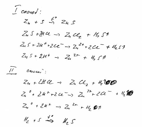
Заранее какими двумя можно получить сероводородную имея серу, цинк и соляную кислоту ? напишите реакции в молекулярной, полной ионной и сокращенной ионной формах.

👇
Ответ:
Genius2020
Genius2020
03.11.2022
1).Na2CO3 + 2 CH3COOH ---> 2CH3COONa + H2O + CO2 
2Na(+) + CO3(-2) + 2 CH3COO(-) +2H(+) ---> 2CH3COO(-) +2Na(+) + H2O + CO2 CO3(-2) +2H(+) ---> H2O + CO2, 
2).Zn + 2 HCOOH ---> Zn(HCOO)2 + H2, 
Zn(0) + 2 HCOO(-) +2H(+) ---> Zn(+2) + 2HCOO(-) + H2(0), 
Zn(0) +2H(+) ---> Zn(+2) + H2(0), 
3).C2H5COOH + NaOH --> C2H5COONa + H2O, 
C2H5COO(-) +H(+) + Na(+) + OH(-) --> C2H5COO(-) +Na(+) + H2O, 
H(+) + OH(-) --> H2O, 
4). 2 CH3COOH + MgO --->(CH3COO)2Mg + H2O 
2CH3COO(-) +2H(+) + MgO ---> 2CH3COO(-) +Mg(2+) + H2O, 
2H(+) + MgO ---> Mg(2+) + H2O
4,7(73 оценок)
Ответ:
SAMAWHICE
SAMAWHICE
03.11.2022
Заранее какими двумя можно получить сероводородную имея серу, цинк и соляную кислоту ? напишите реак
4,5(13 оценок)
Открыть все ответы
Ответ:
mimikatja12
mimikatja12
03.11.2022

Записываем формулу вещества

Н2SO4-серная кислота

В этом веществе 2 атома водорода, 1 атом серы и 4 атома кислорода.

В таблице Менделеева находим их,

смотрим атомную массу

умножаем атомную массу на количество атомов в формуле вещества

все складываем

М=1*2+32*1+16*4=98

С другими веществами действуем также.

NaCl-хлорид натрия. Здесь по одному атому Na и Cl

Находим натрий и хлор в таблице Менделеева (№11 и №17 в таблице)

их атомные массы умножаем на 1 и все складываем

М (NaCl)=23+35,5=58,5

H2O-вода

2 атома водорода и 1 атом кислорода

Находим в таблице атомные массы

Умножаем на количество атомов

Складываем

М (Н2О)=1*2+16=18

Объяснение:

4,8(82 оценок)
Ответ:
kuzminanika2000
kuzminanika2000
03.11.2022
 Mg+Cl2=MgCl2
Кол. вещества              Mg=масса Mg \ отн. молекулярную массу Mg=3,6 \ 24=0,15 моль столько вступило в реакцию магния
если посмотреть на реакцию то видим что количество молекул магния вступившего в реакцию равно количеству молекул MgCl2 получившихся в результате.
Значит Кол. вещества MgCl2 равно тоже 0,15 моль
масса MgCl2 = Кол. вещества MgCl2 * отн. молекулярную массу MgCl2 = 0,15*97=14,55 гр столько грамм получилось MgCl2
Масса раствора = 14,55+250=264,55гр
массовая доля MgCl2= масса MgCl2 \ Масса раствора *100%=14,55\264,55*100%=5,4999%

Массовая доля хлорида магния в (расстворе) будет равна 5,4999%
4,7(48 оценок)
Новые ответы от MOGZ: Химия
logo
Вход Регистрация
Что ты хочешь узнать?
Спроси Mozg
Открыть лучший ответ