М
Молодежь
К
Компьютеры-и-электроника
Д
Дом-и-сад
С
Стиль-и-уход-за-собой
П
Праздники-и-традиции
Т
Транспорт
П
Путешествия
С
Семейная-жизнь
Ф
Философия-и-религия
Б
Без категории
М
Мир-работы
Х
Хобби-и-рукоделие
И
Искусство-и-развлечения
В
Взаимоотношения
З
Здоровье
К
Кулинария-и-гостеприимство
Ф
Финансы-и-бизнес
П
Питомцы-и-животные
О
Образование
О
Образование-и-коммуникации
Bill542
Bill542
31.05.2022 05:11 •  Химия

Nacl+h2o=h2+cl2+naoh сделайте окислительно-восстановительную реакцию

👇
Ответ:
tbabkova084
tbabkova084
31.05.2022
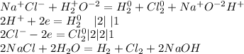
Na^+Cl^-+H^+_2O^{-2}=H_2^0+Cl_2^0+Na^+O^{-2}H^+\\2H^++2e=H^0_2\ \ \ |2|\ |1\\2Cl^--2e=Cl_2^0|2|2|1\\
2NaCl+2H_2O=H_2+Cl_2+2NaOH
4,4(6 оценок)
Ответ:
anystti
anystti
31.05.2022
2NaCl+H2O=H2+Cl2+NaOH окисляется 2NaCl=2Na+Cl2 не знаю наверное восстановитель
4,8(5 оценок)
Открыть все ответы
Ответ:
egorkamarkov0
egorkamarkov0
31.05.2022
В самом начале школьного курса химии учат решать уравнения на основе понятия валентности элементов периодической таблицы. На основе данного упрощения рассмотрим решение химического уравнения на примере окисления алюминия кислородом. Алюминий, взаимодействуя с кислородом, образует оксид алюминия. Обладая указанными исходными данными составим схему уравнения.

Al + O2 → AlO
В данном случае мы записали примерную схему химической реакции, которая лишь частично отражает ее сущность. В левой части схемы записываются вещества, вступающую в реакцию, а в правой результат их взаимодействия. Кроме того, кислород и другие типичные окислители, обычно записываются правее металлов и других восстановителей в обоих частях уравнения. Стрелка показывает направление реакции.Чтобы данная составленная схема реакции приобрела законченный вид и соответствовала закону сохранения массы веществ, необходимо:Проставить индексы в правой части уравнения у вещества, получившегося в результате взаимодействия.
Уровнять количество участвующих в реакции элементов с количеством получившегося вещества в соответствии с законом сохранения массы веществ.Начнем с приостановки индексов в химической формуле готового вещества. Индексы устанавливаются в соответствии с валентностью химических элементов. Валентностью называют атомов образовывать соединения с другими атомами за счет соединения их неспаренных электронов, когда одни атомы отдают свои электроны, а другие присоединяют их себе на внешний энергетический уровень. Принято считать, что валентность химического элемента определяет его группой (колонкой) в периодической таблице Менделеева. Однако на практике взаимодействие химических элементов происходит гораздо сложнее и разнообразнее. Например, атом кислорода во всех реакциях имеет валентность Ⅱ, несмотря на то, что в периодической таблице находится в шестой группе.Чтобы вам сориентироваться в этом многообразии, предлагаем вам следующий небольшой справочный который определить валентность химического элемента. Выберите интересующий вас элемент и вы увидите возможные значения его валентности. В скобках указаны редкие для выбранного элемента валентности.
4,4(15 оценок)
Ответ:
bogdanzdebskiy
bogdanzdebskiy
31.05.2022
Для того, чтобы составить уравнение, для начала нужно знать исходные вещества. Например, нас просят написать уравнение реакции образования воды. Как известно, вода состоит из 2-х химических элементов: водорода и кислорода. Запишем исходные данные:
H₂ + O₂

Тут возникает вопрос: почему H₂ и O₂, а не просто H и O? Все дело в том, что молекулы этих газов и некоторых других (не инертных) двухатомны, и писать их следует только так.

Вернемся к уравнению. Зная вещества левой части, мы можем написать вещество правой части. Данная реакция -- реакция соединения (из 2 простых веществ получаем одно сложное). В промежуточном виде уравнение будет иметь следующий вид:
H₂ + O₂ = HO

Мы знаем, что конечное вещество состоит из водорода и кислорода. Но это не все. Есть такое понятие, как валентность, т.е атомов элемента присоединять другие атомы. Для металлов главных подгрупп она равна номеру группы, для неметаллов 8-номер группы. Хотя хлор, например, может иметь разные валентности. Водород, хотя и является неметаллом, может проявлять металлические свойства, и валентность для него определяем, как валентность металла.

Итак, нам нужно определить валентность водорода и кислорода. Смотри в таблицу Менделеева. Водород находится в первой группе. Как я уже писал, водород -- это неметалл, но определять его валентность будем как для металла. Первая группа -- значит, валентность =1.
Кислород -- неметалл, находится в шестой группе. Его валентность равна 8-6 = 2.

Таким образом, мы выяснили, что валентности водорода и кислорода равны 1 и 2 соответственно. В формуле HO над водородом пишем римскую цифру I, над кислородом -- II. Теперь найдем наименьшее общее кратное, т.е. число, которое делится без остатка и на 1, и на 2. Несложно рассчитать, что это число 2. Теперь поделим наименьшее общее кратное на валентность каждого элемента. ответ запишем в виде индекса (маленькая цифра справа снизу от элемента).
2/1 = 2 -- справа снизу от водорода пишем ₂
2/2 = 1 -- индекс ₁ в химии не пишут, поэтому около кислорода ничего не пишем.

Получается формула H₂O. Уравнение принимает промежуточный вид:
H₂ + O₂ = H₂O. 

Невооруженным глазом видно, что слева у нас 2 атома водорода, справа так же 2 атома. А вот кислорода слева 2, а справа только 1. Перед всей формулой молекулы воды ставим коэффициент 2. Уравнение принимает промежуточный вид:
H₂ + O₂ = 2H₂O

Но уравняв количество атомов кислорода, мы нарушили равновесие атомов водорода. Справа теперь у нас 4 атома водорода (2*₂ = 4), слева по-прежнему 2. Поставим в левой части коэффициент 2 перед формулой водорода. Уравнение принимает окончательный вид:
2H₂ + O₂ = 2H₂O
4,7(11 оценок)
Это интересно:
Новые ответы от MOGZ: Химия
Полный доступ к MOGZ
Живи умнее Безлимитный доступ к MOGZ Оформи подписку
logo
Вход Регистрация
Что ты хочешь узнать?
Спроси Mozg
Открыть лучший ответ