М
Молодежь
К
Компьютеры-и-электроника
Д
Дом-и-сад
С
Стиль-и-уход-за-собой
П
Праздники-и-традиции
Т
Транспорт
П
Путешествия
С
Семейная-жизнь
Ф
Философия-и-религия
Б
Без категории
М
Мир-работы
Х
Хобби-и-рукоделие
И
Искусство-и-развлечения
В
Взаимоотношения
З
Здоровье
К
Кулинария-и-гостеприимство
Ф
Финансы-и-бизнес
П
Питомцы-и-животные
О
Образование
О
Образование-и-коммуникации
890605
890605
05.03.2020 09:12 •  Химия

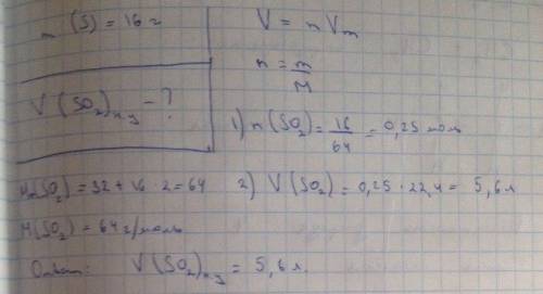
Рассчитайте объём(л) (при н.у.) сернистого газа so2, содержащего 16 грамм серы.

👇
Ответ:
mohob
mohob
05.03.2020
Молярный объем(Vm) - постоянная величина, равная 22.4 г\моль (только для газов при н.у)                                                                                                                                                                             
Рассчитайте объём(л) (при н.у.) сернистого газа so2, содержащего 16 грамм серы.
4,6(5 оценок)
Ответ:
vladikkolbaska
vladikkolbaska
05.03.2020
Количество вещества серы равно 0,5 моль объем сернистого газа равен 11,2л
4,5(94 оценок)
Открыть все ответы
Ответ:
koshkinaeri
koshkinaeri
05.03.2020

вот выяснилось: им не к морю нужно было. Добежав, они облепляли большого рогатого жука, которого на этой же тропе к морю кто-то раздавил, и он теперь лежал тут подобравшись, а муравьи тормошили его и разбирали на части. У жука Таня остановилась на бесконечную минуту и отошла от него уже не восторженная, а раздумчивая.

Потом сосны отступили, рассвело – и перед Таней открылся огромный мир: от одного его края до другого шла широкая песчаная лента, за ней зеленело плоское море, а сверху этот мир был накрыт небом, о глубине которого можно было только догадываться по кажущимся крохотными облакам.

Проведя Таню через лес, папа отпустил её руку и пошёл мочить ступни в спокойной воде. Ветер дул Тане в лицо, как дуют на царапину, чтобы не болело; но у Тани болело.

Объяснение:

вот выяснилось: им не к морю нужно было. Добежав, они облепляли большого рогатого жука, которого на этой же тропе к морю кто-то раздавил, и он теперь лежал тут подобравшись, а муравьи тормошили его и разбирали на части. У жука Таня остановилась на бесконечную минуту и отошла от него уже не восторженная, а раздумчивая.

Потом сосны отступили, рассвело – и перед Таней открылся огромный мир: от одного его края до другого шла широкая песчаная лента, за ней зеленело плоское море, а сверху этот мир был накрыт небом, о глубине которого можно было только догадываться по кажущимся крохотными облакам.

Проведя Таню через лес, папа отпустил её руку и пошёл мочить ступни в спокойной воде. Ветер дул Тане в лицо, как дуют на царапину, чтобы не болело; но у Тани болело.

4,5(96 оценок)
Ответ:
wwwlikaigor123
wwwlikaigor123
05.03.2020

Объяснение:

У 10 класі триватиме вивчення органічної хімії.

Ви вже знаєте, що серед сполук різних елементів окрему групу становлять ті, що утворені Карбоном, — так звані органічні сполуки. З найважливішими з них ви ознайомилися в поперед ніх класах, а докладно вивчити

органічні речовини в усій їхній багатоманітності зможете в окремому розділі органічної хімії. Цей підручник відкриє багато нового, досі невідомого

про природні й синтетичні сполуки, із яких виготовлено ваш одяг, які ви

вживаєте в їжу, які вас обігрівають і лікують, з яких, зрештою, побудовано

ваш організм.

Зміст кожної наступної теми і кожного наступного параграфа підручника ґрунтується на змісті попередніх. Намагайтеся зрозуміти логіку органічної хімії — і ви легко засвоїте навіть найскладніший матеріал. А знання

залежності властивостей органічних речовин від їхніх складу та будови дадуть вам змогу не лише пояснювати ці властивості, а й передбачати їх.

У вивченні хімії вам до структура підручника. Фактичний

матеріал про органічні сполуки викладається в рубриках: Склад і будова

молекул, Фізичні властивості, Хімічні властивості, Застосування,

Добування. Матеріал про хімічні властивості як найважливіший подано в

зручному вигляді: рівняння хімічних реакцій речовин згруповано в одному

місці, а пояснення цих реакцій наведено паралельно.

Кожна тема закінчується висновками, в яких узагальнено основ ний,

найважливіший матеріал. Наприкінці параграфів наведено завдання, за

до яких ви можете перевірити свої знання і розуміння вивченого.

Не лінуйтеся робити це систематично — і успіх у навчанні забезпечений. Не

нехтуйте також запитаннями, уміщеними в тексті параграфів.

Навички експериментування ви зможете розвинути, виконуючи різноманітні хімічні досліди. Прописи лабораторних робіт наведено в тексті параграфів, а практичних робіт — наприкінці підручника.

Сподіваємося, що вивчення органічної хімії буде для вас цікавим і корисним.

Успіхів вам!

4,6(18 оценок)
Это интересно:
Новые ответы от MOGZ: Химия
logo
Вход Регистрация
Что ты хочешь узнать?
Спроси Mozg
Открыть лучший ответ