М
Молодежь
К
Компьютеры-и-электроника
Д
Дом-и-сад
С
Стиль-и-уход-за-собой
П
Праздники-и-традиции
Т
Транспорт
П
Путешествия
С
Семейная-жизнь
Ф
Философия-и-религия
Б
Без категории
М
Мир-работы
Х
Хобби-и-рукоделие
И
Искусство-и-развлечения
В
Взаимоотношения
З
Здоровье
К
Кулинария-и-гостеприимство
Ф
Финансы-и-бизнес
П
Питомцы-и-животные
О
Образование
О
Образование-и-коммуникации
ksenchhh
ksenchhh
23.03.2020 06:50 •  Химия

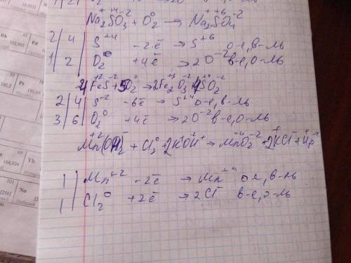
Вниже реакциях укажите окислитель и востановитель. составте электронный и на его основе урпвняйте реакции. fes + o2-fe2o3 + so2, mn(oh)2 + cl2 + koh - mno2 + kcl + h2o

👇
Ответ:
Supernix
Supernix
23.03.2020
Смотрите фото во вложении 
Вниже реакциях укажите окислитель и востановитель. составте электронный и на его основе урпвняйте ре
4,4(21 оценок)
Открыть все ответы
Ответ:
qppqwoow
qppqwoow
23.03.2020
Уравнения реакций:
СН2О + Н2 = СН3ОН
Из формальдегида получился метанол.
2СН3ОН + 2Na = 2CH3ONa + H2↑
Теоретический (100%) выход водорода равен 8,96/0,8 = 11,2 литра, что составляет 11,2/22,4 = 0,5 моль.
Количество вещества метилового спирта в 2 раза больше и равно 1 моль, а его молярная масса равна 32 грамм/моль.
Значит, масса метанола = 32×1 = 32 грамм.
Теоретический (100%) выход метанола в первой реакции
равен 32/0,8 = 40 грамм, что составляет 40/32 = 1,25 моль.
Таково же количество вещества формальдегида.
Молярная масса формальдегида равна 30 грамм/моль.
Значит, масса формальдегида равна 30×1,25 = 37,5 грамм.

ответ: масса формальдегида равна 37,5 грамм.
4,4(68 оценок)
Ответ:
ogannisyan2006
ogannisyan2006
23.03.2020
Пусть в исх-й смеси х моль N2 массой 28*х г и 1-х моль H2 массой 2*(1-х) = 2-2*х г, т.е. по условию 28*х+2-2*х = 4*2.125, откуда х = 0.25 моль, n H2 соотв-о = 0.75 моль;

P*V = n*R*T; т.к. V = const ("замкнутый реактор"), T = const (по условию) и R - унив-я газовая постоянная, то ф-ла упрощается до P = n, т.е. давление прямо проп-о кол-ву в-ва смеси газов;

N2 + 3H2 = 2NH3, пусть в р-ию вст-о х моль N2 и 3*х моль H2 и образ-ь 2*х моль NH3, т.о. в кон-й газовой смеси 0.25-х моль N2, 0.75-3*x моль H2 и 2*х моль NH3;

по условию, 0.25-х+0.75-3*x+2*х = 1-0.1, откуда х = 0.05 моль;

т.о. в NH3 прев-ь 0.05/0.25 = 0.2 или 20% N2, а объемная доля NH3 в кон-й смеси = 0.05*2/(1-0.1) = 0.1111 или 11.11%.
4,4(30 оценок)
Это интересно:
Новые ответы от MOGZ: Химия
logo
Вход Регистрация
Что ты хочешь узнать?
Спроси Mozg
Открыть лучший ответ