М
Молодежь
К
Компьютеры-и-электроника
Д
Дом-и-сад
С
Стиль-и-уход-за-собой
П
Праздники-и-традиции
Т
Транспорт
П
Путешествия
С
Семейная-жизнь
Ф
Философия-и-религия
Б
Без категории
М
Мир-работы
Х
Хобби-и-рукоделие
И
Искусство-и-развлечения
В
Взаимоотношения
З
Здоровье
К
Кулинария-и-гостеприимство
Ф
Финансы-и-бизнес
П
Питомцы-и-животные
О
Образование
О
Образование-и-коммуникации
marceries
marceries
16.06.2021 02:36 •  Химия

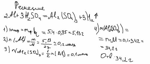
Какова масса соли выделившейся при взаимодействии 5,4 граммов алюминия с серной кислотой, если массовая доля выхода составляет 95%?

👇
Ответ:
Columbos
Columbos
16.06.2021
Скорее всего получается вот так)
Какова масса соли выделившейся при взаимодействии 5,4 граммов алюминия с серной кислотой, если массо
4,8(16 оценок)
Открыть все ответы
Ответ:
alenavol2005
alenavol2005
16.06.2021

выберите правильные утверждения:

1. вещества и свойствами.   да.

2. молекулы - это мельчайшие частицы вещества, неделимые.   да.

3. в реакциях простые вещества могут разлагаться с образованием нескольких других веществ.   да.

4. валентность кислорода равна двум.  

5. моль является единицей количества вещества.   да.

1. валентность серы в so₃ равна:

  4) 6.

. формула соединения калия с серой :

3)k₂s

3. сумма коэффициентов в схеме реакции: 2na+s=na₂s равна

  4) 4

4,4(50 оценок)
Ответ:
alekseyovsyann
alekseyovsyann
16.06.2021
1. В первой задаче даны 2 соли, которые реагируют с гидроксидом натрия, однако в условии сказано, что гидроксид натрия взят в избытке, поэтому образовавшийся осадок гидроксида алюминия будет взаимодействовать с гидроксидом натрия и лишь гидроксид меди (ІІ) ,будет в осадке. По уравнению реакции вычислим массу хлорида меди (ІІ):
CuCl2 + 2NaOH => Cu(OH)2↓ + 2NaCl
135 г 98 г
х г 2,4 г
х=m(CuCl2)=3.3 г
m(AlCl3) = 10 г - 3,3 г = 6,7 г

2. Вычислим количество в-в реагентов:
η(NH₃)=0.56 л/22,4 л/моль = 0,025 моль
η(H₂SO₄) = 2,45 г/98 г/моль = 0,025 моль
η(NH₃) :η(H₂SO₄) = 0.025 моль:0,025 моль = 1:1
Составляем уравнение химической реакции и вычисляем 100% выход соли:
NH₃ + H₂SO₄ => NH₄HSO₄ - гидросульфат аммония
Из уравнения реакции видно, что при взаимодействии 0,025 моль аммиака с 0,025 моль серной кислоты при 100% выходе мы получим 0,025 моль гидросульфата аммония
m(NH₄HSO₄) = 115 г/моль×0,025 моль = 2,875 г
Теперь определим выход продукта реакции:
N=2,5/2,875×100% ≈ 87%
4,4(33 оценок)
Новые ответы от MOGZ: Химия
logo
Вход Регистрация
Что ты хочешь узнать?
Спроси Mozg
Открыть лучший ответ