М
Молодежь
К
Компьютеры-и-электроника
Д
Дом-и-сад
С
Стиль-и-уход-за-собой
П
Праздники-и-традиции
Т
Транспорт
П
Путешествия
С
Семейная-жизнь
Ф
Философия-и-религия
Б
Без категории
М
Мир-работы
Х
Хобби-и-рукоделие
И
Искусство-и-развлечения
В
Взаимоотношения
З
Здоровье
К
Кулинария-и-гостеприимство
Ф
Финансы-и-бизнес
П
Питомцы-и-животные
О
Образование
О
Образование-и-коммуникации
montishok
montishok
18.11.2021 04:55 •  Химия

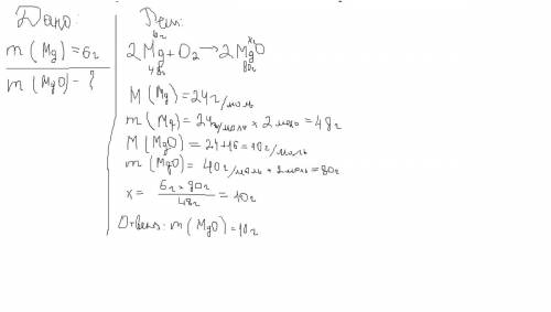
Вычислите массу оксида магния, который образуется при сжигании 6г магния. расспишите

👇
Ответ:
ecpert
ecpert
18.11.2021
ВООООООООООООООООООООООтт)
Вычислите массу оксида магния, который образуется при сжигании 6г магния. расспишите
4,5(94 оценок)
Открыть все ответы
Ответ:
serega5152
serega5152
18.11.2021

Я не гений не знаю, но по идее вот ответ: Одна из версий: Менделеев спал и видел сон. Во сне он увидел эту таблицу где как нужно расставлены элементы. Он проснулся и написал сам эту таблицу. Так появилась таблица Меделеева.

 Нужна эта таблица, чтобы знать химические элементы и их атомные массы. В таблице внесены все химические элементы. Применяют её в химии. Больше всего это разумеется надо тем кто пойдёт учиться на профессию связанную с химией.

На всякий случай: Второе название таблицы умножения- ПЕРЕОДИЧЕСКАЯ СИСТЕМА ХИМИЧЕСКИХ ЭЛЕМЕНТОВ.

Не знаю это тебе или нет, но пусть будет.

 

4,5(33 оценок)
Ответ:
Kseniyagapchuk
Kseniyagapchuk
18.11.2021
1.w=50/200+50=0.2 или 20%
2. 
x        50g
Zn+H2SO4=ZnSO4+H2
65g    98g
x=50*65/98=33g
3.m(FeSO4)=500*0.1=50g
4. 

v=0.44-0.22/12min=0/02mol/L*min
5.
xmol             4g
2H2O=2H2+O2
2mol            32g
x=2*4/32=0.25mol
6.m(NaCl)=300*0.05=15g
7.mNi=2000*0.12=240kg
mCr=2000*0.08=160kg
mFe=2000*0.8=1600kg
8.
10L  xL
N2+3H2=2NH3
1mol 3mol
x=10*3/1=30L
9.
27g      14g              xg
CuCl2+Fe=FeCl2+Cu
135g    56g             64g
nCuCl2=27/135=0.2mol
nFe=14/56=0.25molв избытке
ч=27*64.135=12.8g
10. VO2=500*0.21=105m(3)
VN2=500*0.78=390m(3)
11.
11.2L        xL
N2+3H2=2NH3
22.4L       44.8L
x=11.2*44.8/22.4=22.4L
12. MCxSe=38*2=79g/mol
nC=15.8/12=1.26    nS=84.2/32=2.6
1.26:2.6=1:2
CS2
13.M=1.69*22.4=38g/mol
D(H2)=38/2=19  F2
14.
xg                      11g
CaCO3=CaO+CO2
100g                44g
x=100*11/44=25g
w=25/30*100%=83%
15.
xL         yL    0.2mol
2H2    +O2=   2H2O
44.8L   22.4L  2mol
x=44.8*0.2/2=4.48L
y=22.4*0.2/2=2.24L
16. mcem=200*0.3=60kg
mpes=200*0.7=140kg
17.mr-ra=47.5+2500=2547.5g
w=2500/2547.5*100%=98%
18.
1kg      xmol
S+O2=SO2        2SO2+O2=2SO3
32g      1mol
x(SO2)=1000*1/32=31.25mol
x(SO3)=2nSO2=31.25*2=62.5mol
19.mKOH=56*1.5=84g
mr-ra=84*1.05=88.2g
wKOH=84/88.2*100%=95.2%
20. гремучая ртуть Hg(CNO)2*0.5H2O
21.
5.6L           xL
N2+3H2=2NH3
22.4L       44.8L
x=5.6*44.8/22.4=11.2L
22. a) Dvozd/H2=29/2=14.5
b) Dv/v=29/29=1
23.M=1.25*22.4=28g/mol
24.
422g       xg
MgCO3=MgO+CO2
84g         40g
x=422*40/84=201g
w=19/2018100%=9.5%
25. mC=4.4*12/44=1.2g
mH=2.7*2/18=0.3g
M=1.59*29=133g/mol
С:Н=1.2/12 : 0.3/1=1:3

n(CH3)=133
n*15=133
n=9
C9H20 нонан
4,7(4 оценок)
Это интересно:
Новые ответы от MOGZ: Химия
logo
Вход Регистрация
Что ты хочешь узнать?
Спроси Mozg
Открыть лучший ответ