М
Молодежь
К
Компьютеры-и-электроника
Д
Дом-и-сад
С
Стиль-и-уход-за-собой
П
Праздники-и-традиции
Т
Транспорт
П
Путешествия
С
Семейная-жизнь
Ф
Философия-и-религия
Б
Без категории
М
Мир-работы
Х
Хобби-и-рукоделие
И
Искусство-и-развлечения
В
Взаимоотношения
З
Здоровье
К
Кулинария-и-гостеприимство
Ф
Финансы-и-бизнес
П
Питомцы-и-животные
О
Образование
О
Образование-и-коммуникации
DoIIIuPak18
DoIIIuPak18
04.03.2023 13:51 •  Химия

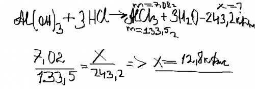
Реакция взаимодействия гидроокиси алюминия с соляной кислотой идет по уравнению: al(oh)3+3hcl-> alcl3+ 3h2o - 243,2 кдж сколько выделиться тепла, если для реакции взять 7,02 г alcl3

👇
Ответ:
zoriy22
zoriy22
04.03.2023
Решение во вложении на фото:)))

Реакция взаимодействия гидроокиси алюминия с соляной кислотой идет по уравнению: al(oh)3+3hcl-> a
4,7(79 оценок)
Открыть все ответы
Ответ:
berezovskayave
berezovskayave
04.03.2023
                         Роль жизни химии = минусы + плюсы ...
Воздушные шары- одно из главных украшений любого праздника! Именно благодаря трудам химиков у нас есть такие замечательные украшения Лаки, краски и др - создатели внешнего вида и долговечности к примеру деревянных изделий. Например кока-кола или мармелад. Вкусно, сытно, но как вредно для нашего организма!Благодаря обработке деревянный дом долго прослужит и будет радовать глаз Можно еще долго перечислять заслуги людей в области химии, однако у всего есть свои минусы
4,5(1 оценок)
Ответ:
MARCOM03
MARCOM03
04.03.2023
1. H2SO4.
2. Молярная масса 98,082.
3. Кислотный остаток - SO4, соль назыввется сульфат.
4. Сильная двухосновная кислота, отвечающая высшей степени окисления серы (+6).
5. При обычных условиях концентрированная серная кислота — тяжёлая маслянистая жидкость без цвета и запаха, с кислым «медным» вкусом.
6. Довольно сильный окислитель, особенно при нагревании.
7. Концентрированная серная кислота поглощает водяные пары, поэтому она применяется для сушки газов, жидкостей и твёрдых тел, например, в эксикаторах. Однако концентрированная H2SO4 частично восстанавливается водородом, из-за чего не может применяться для его сушки.
8. Разбавленная H2SO4 взаимодействует со всеми металлами, находящимися в электрохимическом ряду напряжений левее водорода с его выделением, например:
Ba+H2SO4=BaSO4+H2.
9. Серную кислоту применяют в производстве минеральных удобрений, как электролит в свинцовых аккумуляторах, для получения различных минеральных кислот и солей, химических волокон, красителей, дымообразующих веществ и взрывчатых веществ, в нефтяной, металлообрабатывающей, текстильной, кожевенной и др. отраслях промышленности.
10. Используют в промышленном органическом синтезе в реакциях дегидратации (получение диэтилового эфира, сложных эфиров), гидратации (этанол из этилена), сульфирования (синтетические моющие средства и промежуточные продукты в производстве красителей), алкилирования (получение изооктана, полиэтиленгликоля, капролактама) и др.
11. Серная кислота и олеум - чрезвычайно агрессивные вещества, поражают дыхательные пути, кожу, слизистые оболочки, вызывают затруднение дыхания, кашель, нередко - ларингит, трахеит, бронхит и т.д
4,4(35 оценок)
Это интересно:
Новые ответы от MOGZ: Химия
logo
Вход Регистрация
Что ты хочешь узнать?
Спроси Mozg
Открыть лучший ответ