М
Молодежь
К
Компьютеры-и-электроника
Д
Дом-и-сад
С
Стиль-и-уход-за-собой
П
Праздники-и-традиции
Т
Транспорт
П
Путешествия
С
Семейная-жизнь
Ф
Философия-и-религия
Б
Без категории
М
Мир-работы
Х
Хобби-и-рукоделие
И
Искусство-и-развлечения
В
Взаимоотношения
З
Здоровье
К
Кулинария-и-гостеприимство
Ф
Финансы-и-бизнес
П
Питомцы-и-животные
О
Образование
О
Образование-и-коммуникации
Викуля151515
Викуля151515
13.07.2020 06:46 •  Химия

При спиртовом брожении 695 г глюкозы получили 230 г этилового спирта . какой % это составляет от теоретически возможного

👇
Ответ:
Нонс2
Нонс2
13.07.2020
ответ во вложенном фото
При спиртовом брожении 695 г глюкозы получили 230 г этилового спирта . какой % это составляет от тео
4,6(87 оценок)
Ответ:
leyla623
leyla623
13.07.2020
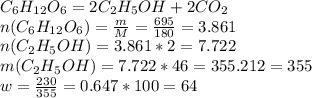
C _{6} H _{12} O _{6} =2C _{2} H _{5} OH+2CO _{2} \\ n(C _{6} H _{12} O _{6} )= \frac{m}{M} = \frac{695}{180} =3.861\\n(C _{2} H _{5} OH)=3.861*2=7.722\\m(C _{2} H _{5} OH)=7.722*46=355.212=355\\w= \frac{230}{355} =0.647*100=64

Выход реакции я обозначила как массовую долю 
4,5(86 оценок)
Открыть все ответы
Ответ:
shubinaale
shubinaale
13.07.2020
1.

• Оксид хрома (III) Cr₂O₃ - амфотерный оксид
Основание: Cr(OH)₃ - гидроксид хрома (III)
Кислота: HCrO₂ - метахромистая кислота, H₃CrO₃ - ортохромистая кислота

• Оксид бериллия BeO - амфотерный оксид
Основание: Be(OH)₂ - гидроксид бериллия
Кислота: H₂BeO₂ - бериллиевая кислота

• Оксид брома (III) Br₂O₃ - кислотный оксид
Кислота: HBrO₂ - бромистая кислота

• Оксид свинца (II) PbO - амфотерный оксид
Основание: Pb(OH)₂ - гидроксид свинца (II)
Кислота: H₂PbO₂ - свинцовистая кислота

• Оксид йода (V) I₂O₅ - кислотный оксид
Кислота: HIO₃ - йодноватая кислота, HI₃O₈ - трийодноватая кислота

2.

BeO + 2HNO₃ → Be(NO₃)₂ + H₂O
SeO₂ + H₂O → H₂SeO₃
Rb₂O + H₂O → 2RbOH
NiO + H₂O ↛
I₂O₇ не получен и вряд ли существует вообще (если бы был получен, то реакция выглядела бы так:
2NaOH + I₂O₇ → 2NaIO₄ + H₂O или 10NaOH + I₂O₇ → 2Na₅IO₆ + 5H₂O)
Cr₂O₃ + 3SO₃ → Cr₂(SO₄)₃
Ni₂O₃ + KOH ↛
Li₂O + SO₂ → Li₂SO₃
N₂O₅ + B₂O₃ ↛ (хотя нитрат бора B(NO₃)₃ получен)
4,5(98 оценок)
Ответ:
EseniyaMaster
EseniyaMaster
13.07.2020
Электронные конфигурации внешнего валентного слоя галогенов относятся к типу ns2np5 (n = 2, 3, 4 и 5 соответственно у фтора, хлора, брома и иода) . Такие электронные конфигурации обусловливают типичные окислительные свойства галогенов присоединять электроны обладают все галогены, хотя при переходе к иоду окислительная галогенов ослабляется.

Одной из закономерностей в химии р-элементов является менделеевское правило четности. Согласно этому правилу, относительно большей стабильностью обладают те соединения р-элементов, в которых центральный атом имеет степень окислениятой же четности, что и четность номера соответствующей группы в периодической системе. Например, четными являются соединения ксенона серы (H2S, SO2, H2SО3, SО3, H2SO4) – элемента четной группы, нечетными – соединения хлора (HCl, Cl2O, HClO, Cl2O3, HClO2, Cl2O5, HClO3, Cl2O7, HClO4)и других галогенов, и фосфора (PH3, H3PO2, P2O3, H3PO3, P2O5, H3PO4) – элементов нечетных групп. Согласно методу ВС, это объясняется тем, что в соединениях непереходных элементов связь между центральным атомом и лигандами осуществляется за счет двухэлектронных двухцентровых взаимодействий.
В основном состоянии центрального атома число неспаренных электронов соответствует по четности номеру группы: 2 – у углерода, 3-4 – у фосфора, 2 – у серы, 1 – у хлора (углерод, сера – элементы четных групп, фосфор и хлор – нечетных) . При возбуждении происходит расспаривание электронов центрального атома на его валентных ns- и np-орбиталях с заполнением свободных nd-орбиталей. При этом число неспаренных электронов на каждом этапе расспаривания увеличивается на 2, благодаря чему сохраняется неизменной исходная четность или нечетность их общего числа; поэтому и образуются соединения с четными степенями окисления центрального атома для р-элементов четных групп и с нечетными – для р-элементов нечетных групп
4,7(85 оценок)
Это интересно:
Новые ответы от MOGZ: Химия
logo
Вход Регистрация
Что ты хочешь узнать?
Спроси Mozg
Открыть лучший ответ