М
Молодежь
К
Компьютеры-и-электроника
Д
Дом-и-сад
С
Стиль-и-уход-за-собой
П
Праздники-и-традиции
Т
Транспорт
П
Путешествия
С
Семейная-жизнь
Ф
Философия-и-религия
Б
Без категории
М
Мир-работы
Х
Хобби-и-рукоделие
И
Искусство-и-развлечения
В
Взаимоотношения
З
Здоровье
К
Кулинария-и-гостеприимство
Ф
Финансы-и-бизнес
П
Питомцы-и-животные
О
Образование
О
Образование-и-коммуникации
232привет
232привет
22.10.2022 05:20 •  Химия

Расставить коэфециенты p+koh+h2o-kh2po3+ph3

👇
Ответ:
shluhiNovokrai
shluhiNovokrai
22.10.2022

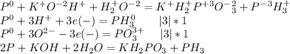
P+KOH+H2O-KH2PO3+PH3


Метод электронного баланса

P^0+K^+O^{-2}H^++H^+_2O^-^2 =K^+H^+_2P^+^3O^-^2_3+P^-^3H^+_3 \\ P^0 +3H^+ + 3e(-) = PH_3^0 \ \ \ \ \ \ |3|*1\\ P^0 + 3 O^{2-}- 3e(-) = PO_3^{3+} \ \ \ \ |3|*1 \\ 2P+KOH+2H_2O = KH_2PO_3+PH_3

 

4,6(61 оценок)
Открыть все ответы
Ответ:
maksderbenevMarc
maksderbenevMarc
22.10.2022

Объяснение:

Кремниевая кислота H2SiO3 — очень слабая, нерастворимая в воде кислота. Её получают в виде студенистого осадка при действии сильных кислот на растворы силикатов:

 

Na2SiO3+2HCl=H2SiO3↓+2NaCl.

 

Кремниевая кислота настолько слабая, что её можно вытеснить из солей даже угольной кислотой:

Особенности свойств кремниевой кислоты объясняются её строением. Кремниевая кислота не имеет постоянного состава, поэтому вместо формулы H2SiO3 иногда используют запись SiO2⋅nH2O. Кислота имеет полимерное строение:

 

24-07-2017 17-35-27.jpg

 

Кремниевая кислота неустойчивая и при длительном хранении или повышенной температуре разлагается на воду и оксид кремния(IV):

 

H2SiO3=H2O+SiO2.

 

Oксид кремния(IV) образуется в виде пористого твёрдого вещества — силикагеля.

 

Кремниевая кислота не растворяется в воде, не диссоциирует, не изменяет окраску индикаторов. Как все кислоты, она реагирует с основными и амфотерными оксидами и гидроксидами. В результате реакций образуются соли силикаты (Na2SiO3, CaSiO3).

 

Из силикатов растворимы только соли щелочных металлов, и их называют растворимым или  жидким стеклом. Силикаты натрия и калия входят в состав силикатного клея.

 

Концентрированные растворы этих солей используются для пропитки деревянных изделий и тканей с целью придания им огнеупорных свойств. При высыхании силикаты образуют стеклоподобный слой, который не пропускает воду, поэтому применяются и в качестве водоотталкивающих покрытий.

4,4(81 оценок)
Ответ:
Икари301202
Икари301202
22.10.2022

Молекулы ДНК состоят из двух цепей полинуклеотидов, РНК — из одной. Также обычно молекулы РНК короче ДНК.

В состав ДНК входят четыре азотистых основания — аденин, тимин, цитозин и гуанин. В состав РНК также входят четыре основания, но вместо тимина присутствует близкий по строению урацил.

В нуклеотид ДНК входит углевод дезоксирибоза, в то время как в нуклеотид РНК — рибоза. У рибозы, в отличие от дезоксирибозы, есть еще одна гидроксильная группа.

Количество ДНК в клетках одного организма одинаково (если не считать момент ее удвоения перед делением клетки). Количество РНК в разных клетка и в разные периоды одной клетки может значительно отличаться.

ДНК синтезируется только на ДНК по матричному принципу в процессе редупликации (удвоения). РНК также синтезируется на ДНК по матричному принципу, но также может синтезироваться на другой РНК. Ферменты, обеспечивающие синтез ДНК и РНК, различны. В определенной степени отличается и механизм синтеза. После синтеза РНК видоизменяется в соответствии со своими функциями.

Существует три вида РНК — информационна, транспортная, рибосомальная. Информационная РНК кодирует последовательность аминокислот в белке. Транспортная РНК доставляет аминокислоты к месту синтеза. Рибосомальная РНК входит в состав рибосом, которые являются местом синтеза белка.

Функциями ДНК являются хранение и передача генетической информации, матричный синтез на ней РНК. Функцией РНК в общей сложности является синтез белка.

ДНК эукариот преимущественно находится в ядре (также есть в хлоропластах и митохондриях). РНК преимущественно находится в цитоплазме, хотя синтезируется в основном в ядре.

Объяснение:

4,8(88 оценок)
Это интересно:
Новые ответы от MOGZ: Химия
logo
Вход Регистрация
Что ты хочешь узнать?
Спроси Mozg
Открыть лучший ответ