М
Молодежь
К
Компьютеры-и-электроника
Д
Дом-и-сад
С
Стиль-и-уход-за-собой
П
Праздники-и-традиции
Т
Транспорт
П
Путешествия
С
Семейная-жизнь
Ф
Философия-и-религия
Б
Без категории
М
Мир-работы
Х
Хобби-и-рукоделие
И
Искусство-и-развлечения
В
Взаимоотношения
З
Здоровье
К
Кулинария-и-гостеприимство
Ф
Финансы-и-бизнес
П
Питомцы-и-животные
О
Образование
О
Образование-и-коммуникации
emilyblack80
emilyblack80
06.12.2022 20:55 •  Химия

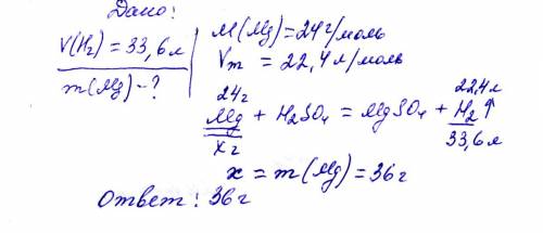
Вычислите массу магния, прореагировал с разведенной серной кислотой, если выделилось 33,6 водорода (н.у.)

👇
Ответ:
6676228
6676228
06.12.2022
ответ на задачу см в приложении
Вычислите массу магния, прореагировал с разведенной серной кислотой, если выделилось 33,6 водорода (
4,8(94 оценок)
Открыть все ответы
Ответ:
Dasha846363737
Dasha846363737
06.12.2022
Аминокисло́ты (аминокарбо́новые кисло́ты; АМК) — органические соединения, в молекуле которых одновременно содержатся карбоксильные и аминные группы. Основные химические элементы аминокислот — это углерод (C), водород (H), кислород (O), и азот (N), хотя другие элементы также встречаются в радикале определенных аминокислот. Известны около 500 встречающихся в природе аминокислот (хотя только 20 используются в генетическом коде). [1] Аминокислоты могут рассматриваться как производные карбоновых кислот, в которых один или несколько атомов водорода заменены на аминогруппы.

Общая структура α-аминокислот, составляющих белки (кроме пролина). Составные части молекулы аминокислоты — аминогруппа NH2, карбоксильная группа COOH, радикал (различается у всех α-аминокислот), α-атом углерода (в центре)
4,6(1 оценок)
Ответ:
makshardin17
makshardin17
06.12.2022
Правила подбора коэффициентов:

- если число атомов элемента в одной части схемы реакции четное, а в другой нечетное, то перед формулой с нечетным числом атомов надо поставить коэффициент 2, а затем уравнивать число всех атомов.

- расстановку коэффициентов следует начинать с наиболее сложного по составу вещества и делать это в следующей последовательности:

сначала надо уравнять число атомов металлов, затем – кислотных остатков (атомов неметаллов), затем атомов водорода, и последним – атомов кислорода.

- если число атомов кислорода в левой и правой частях уравнения одинаково, то коэффициенты определены верно.

- после этого стрелку между частями уравнения можно заменить знаком равенства.

- коэффициенты в уравнении химической реакции не должны иметь общих делителей.

Пример. Составим уравнение химической реакции между гидроксидом железа (III) и серной кислотой с образованием сульфата железа (III).

1. Составим схему реакции:

Fe(OH)3 + H2SO4 → Fe2(SO4)3 + H2O

2. Подберем коэффициенты к формулам веществ. Мы знаем, что надо начать с наиболее сложного вещества и последовательно уравнять во всей схеме сначала атомы металлов, потом кислотных остатков, затем водорода и в конце – кислорода. В нашей схеме наиболее сложное вещество - Fe2(SO4)3. В нем два атома железа, а в составе Fe(OH)3 – один атом железа. Значит, перед формулой Fe(OH)3 надо поставить коэффициент 2:

2Fe(OH)3 + H2SO4 → Fe2(SO4)3 + H2O

Теперь уравниваем число кислотных остатков SO4. В составе соли Fe2(SO4)3 – три кислотных остатка SO4. Значит, в левой части перед формулой H2SO4 ставим коэффициент 3:

2Fe(OH)3 + 3H2SO4 → Fe2(SO4)3 + H2O.

Теперь уравниваем число атомов водорода. В левой части схемы в гидроксиде железа 2Fe(OH)3 – 6 атомов водорода (2

· 3), в серной кислоте 3H2SO4 – тоже 6 атомов водорода. Всего в левой части 12 атомов водорода. Значит, в правой части перед формулой воды H2O ставим коэффициент 6 – и теперь в правой части тоже 12 атомов водорода:

2Fe(OH)3 + 3H2SO4 → Fe2(SO4)3 + 6H2O.

Осталось уравнять число атомов кислорода. Но делать это уже не надо, потому что в левой и правой частях схемы уже одинаковое число атомов кислорода – по 18 в каждой части. Это значит, что схема записана полностью, и мы можем стрелку заменить знаком равенства:

2Fe(OH)3 + 3H2SO4 = Fe2(SO4)3 + 6H2O.
4,5(40 оценок)
Это интересно:
Новые ответы от MOGZ: Химия
logo
Вход Регистрация
Что ты хочешь узнать?
Спроси Mozg
Открыть лучший ответ