М
Молодежь
К
Компьютеры-и-электроника
Д
Дом-и-сад
С
Стиль-и-уход-за-собой
П
Праздники-и-традиции
Т
Транспорт
П
Путешествия
С
Семейная-жизнь
Ф
Философия-и-религия
Б
Без категории
М
Мир-работы
Х
Хобби-и-рукоделие
И
Искусство-и-развлечения
В
Взаимоотношения
З
Здоровье
К
Кулинария-и-гостеприимство
Ф
Финансы-и-бизнес
П
Питомцы-и-животные
О
Образование
О
Образование-и-коммуникации
МишаКарпунин
МишаКарпунин
05.08.2022 06:36 •  Химия

Составьте уравнения окислительно-восстановительных реакций получения: а) меди из оксида меди (ii) c углерода и оксида углерода (ii) (2 реакции); б) марганца из оксида марганца (iv) с водорода; в) хрома из оксида хрома (iii) с алюминия.

👇
Ответ:
oksanademyanov
oksanademyanov
05.08.2022
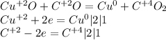
А) Cu^{+2} O + C^0 = Cu^0 + C^{+2}O \\ 
Cu^{+2} +2e = Cu^0|2|1 \\ C^0-2e=C^{+2}|2|1 
Окислитель-Cu-восстановление
Восстановитель-C-окисление

Cu^{+2}O + C^{+2}O=Cu^0+C^{+4}O_2 \\ 
Cu^{+2}+2e=Cu^0|2 |1\\ 
C^{+2}-2e=C^{+4}|2|1
Окислитель-Cu-восстановление
Восстановитель-C-окисление

б) Mn^{+4}O_2+H_2^0=Mn^{+2}O+H_2^+O \\ 
Mn^{+4}+2e=Mn^{+2} |2|1\\ 
H_2^0-2e=2H^+|2|1
Окислитель-Марганец-восстановление
Восстановитель-Водород-окисление

в) Cr_2^{+3}O_3+Al^0=Al_2^{+3}O_3+Cr^0 \\ 
Cr^{+3}+3e=Cr^0|3|1 \\ 
Al^0-3e=Al^{+3}|3|1
Окислитель-Хром-восстановление
Восстановитель-Алюминий-Оксиление
4,8(36 оценок)
Открыть все ответы
Ответ:
333050708
333050708
05.08.2022

1 Атмосферная влага, осаждающаяся при охлаждении мельчайшими водяными каплями.

2 Всякое материальное явление, вещь.

3 физико-химическая система, согласно которой входят две или несколько химических соединений. В смеси исходных веществ, включенных неизменными. При этом нередко исходные вещества нельзя решить, потому что совместно обнаружил другие физические свойства по сравнению с каждым отдельным чистотой исходного вещества.

4 Заплечный вещевой мешок.

5 письменный блокнот, непериодическое издание в виде сброшюрованных листов печатного материала, набор письменных, печатных, иллюстрированных или пустых листов, изготовленных из бумаги, пергамента или другого материала, как правило, скрепленных с одной стороны. Стороны листа называются страницами.

4,6(97 оценок)
Ответ:
fairytailguil
fairytailguil
05.08.2022

Объяснение:

22кгц ь2н ел4н г я 9 в том аду что что и Закрепите скопированные фрагменты, чтобы они не исчезли через часЗакрепите скопированные фрагменты, чтобы они не исчезли через часЗакрепите скопированные фрагменты, чтобы они не исчезли через часЗакрепите скопированные фрагменты, чтобы они не исчезли через часПроведите пальцем по роликам, чтобы удалить ихЗакрепите скопированные фрагменты, чтобы они не исчезли через часПроведите пальцем по роликам, чтобы удалить ихПроведите пальцем по роликам, чтобы удалить ихЗакрепите скопированные фрагменты, чтобы они не исчезли через часПроведите пальцем по роликам, чтобы удалить ихЗакрепите скопированные фрагменты, чтобы они не исчезли через часПроведите пальцем по роликам, чтобы удалить ихЗакрепите скопированные фрагменты, чтобы они не исчезли через часПроведите пальцем по роликам, чтобы удалить ихЗакрепите скопированные фрагменты, чтобы они не исчезли через часПроведите пальцем по роликам, чтобы удалить ихЗакрепите скопированные фрагменты, чтобы они не исчезли через часПроведите пальцем по роликам, чтобы удалить ихЗакрепите скопированные фрагменты, чтобы они не исчезли через часПроведите пальцем по роликам, чтобы удалить ихЗакрепите скопированные фрагменты, чтобы они не исчезли через часПроведите пальцем по роликам, чтобы удалить ихЗакрепите скопированные фрагменты, чтобы они не исчезли через часПроведите пальцем по роликам, чтобы удалить ихПроведите пальцем по роликам, чтобы удалить их

4,6(49 оценок)
Это интересно:
Новые ответы от MOGZ: Химия
logo
Вход Регистрация
Что ты хочешь узнать?
Спроси Mozg
Открыть лучший ответ