М
Молодежь
К
Компьютеры-и-электроника
Д
Дом-и-сад
С
Стиль-и-уход-за-собой
П
Праздники-и-традиции
Т
Транспорт
П
Путешествия
С
Семейная-жизнь
Ф
Философия-и-религия
Б
Без категории
М
Мир-работы
Х
Хобби-и-рукоделие
И
Искусство-и-развлечения
В
Взаимоотношения
З
Здоровье
К
Кулинария-и-гостеприимство
Ф
Финансы-и-бизнес
П
Питомцы-и-животные
О
Образование
О
Образование-и-коммуникации
123456531
123456531
16.07.2021 08:05 •  Химия

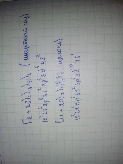
Строение атома , к какому электронному семейству относится 1) fe 2)cu

👇
Ответ:
даша1820065к
даша1820065к
16.07.2021
На фотографии всё написано.
Строение атома , к какому электронному семейству относится 1) fe 2)cu
4,7(24 оценок)
Открыть все ответы
Ответ:
irinohkaberesn
irinohkaberesn
16.07.2021

) N2 + O2 → 2NO (условия: температура, электрический заряд; оксид азота (II); реакция соединения).

2) 2NO + O2 → 2NO2 (оксид азота (IV); реакция соединения).

3) 2NO2 + H2O → HNO2 + HNO3 (азотистая кислота, азотная кислота; окислительно-восстановительная реакция - реакция диспропорционирования).

4) 2HNO3 + Cu(OH)2 → Cu(NO3)2 + 2H2O (нитрат меди(II); реакция обмена, реакция идет, так как образуется слабый электролит в виде воды).

5) 2Cu(NO3)2 → 2CuO + 4NO2 + O2 (условия: температура; оксид меди (II), оксид азота (IV), кислород; реакция разложения).

Объяснение:

4,7(10 оценок)
Ответ:
1232960
1232960
16.07.2021

Эта книга адресована всем, кто изучает русский язык. Но состоит она не из правил, упражнений и учебных текстов. Для этого созданы другие замечательные учебники.

У этой книги совсем иная задача. Она вам научиться не только разговаривать, но и размышлять по-русски. Книга, которую вы держите в руках, составлена из афоризмов и размышлений великих мыслителей, писателей, поэтов, философов и общественных деятелей различных эпох. Их мысли - о тех во которые не перестают волновать человечество.

Вы можете соглашаться или не соглашаться с тем, что прочитаете в этой книге. Возможно, вам покажется, что какие-то мысли уже устарели. Но вы должны обязательно подумать и обосновать, почему вы так считаете.

А еще вы узнаете и почувствуете, как прекрасно звучат слова любви, сострадания, мудрости и доброты на русском языке.

4,8(10 оценок)
Новые ответы от MOGZ: Химия
logo
Вход Регистрация
Что ты хочешь узнать?
Спроси Mozg
Открыть лучший ответ