М
Молодежь
К
Компьютеры-и-электроника
Д
Дом-и-сад
С
Стиль-и-уход-за-собой
П
Праздники-и-традиции
Т
Транспорт
П
Путешествия
С
Семейная-жизнь
Ф
Философия-и-религия
Б
Без категории
М
Мир-работы
Х
Хобби-и-рукоделие
И
Искусство-и-развлечения
В
Взаимоотношения
З
Здоровье
К
Кулинария-и-гостеприимство
Ф
Финансы-и-бизнес
П
Питомцы-и-животные
О
Образование
О
Образование-и-коммуникации
ozorkaltseva
ozorkaltseva
10.12.2021 02:47 •  Химия

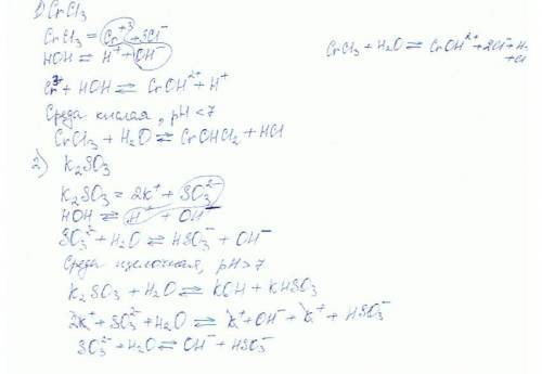
Выбрать из предложенного ряда солей те, которые в водном растворе подвергаются гидролизу. составить для них уравнения реакций гидролиза в ионной и молекулярно-ионной формах: crcl3, naclo4, k2so3

👇
Ответ:
ОTВЕT
ОTВЕT
10.12.2021

NaClO4 гидролизу не подвергается. Т.к. NaOH - сильное основание, а HClO4 - сильная кислота.

 

CrCl3 гидролиз идет по катиону.

CrOH слабое основание 

HCl  сильная кислота

 

K2SO3 гидролиз идет по аниону

KOH сильное основание

H2SO3 слабая кислота 

 


Выбрать из предложенного ряда солей те, которые в водном растворе подвергаются гидролизу. составить
4,7(66 оценок)
Открыть все ответы
Ответ:
Kotik77789
Kotik77789
10.12.2021

аналитической качественное и количественное определение веществ проводится преимущественно в рас­творах. растворами называются гомогенные системы, со­стоящие из двух или более компонентов, состав которых может непрерывно меняться в определенных пределах. компоненты растворов подразделяют на растворитель и растворенные вещества. обычно растворителем считают то вещество, которое в чистом виде существует в том же аг­регатном состоянии, что и образовавшийся раствор. если до образования раствора оба вещества находились в одном и том же агрегатном состоянии, растворителем считается то вещество, которое находится в большем количестве.

растворы бывают жидкими, твердыми и газообразными.

жидкие растворы — это растворы солей, сахара, спирта в воде. кровь, лимфа, моча — тоже жидкие растворы. жидкие растворы могут быть водными и неводными. вод­ные растворы — это растворы, в которых растворителем является вода. неводные растворы — это растворы, в которых растворителями являются органические жидкости (бензол, спирт, эфир и т.

4,6(52 оценок)
Ответ:
Iskrmsndrxjdjjsd
Iskrmsndrxjdjjsd
10.12.2021
  2с2н2 + 3н2 = сн3-сн3 + сн2=сн2   этан с бромом не реагирует. сн2=сн2 + br2 = ch2br-ch2br m(br2) = w(br2)*m(p-pabr2) = 0,04*40 = 1,6 г. n(br2) = m(br2)/m(br2) = 1,6/160 = 0,01 моль. этилен реагирует с бромом в соотношении  1: 1.     n(ch2=ch2) = n(br2) = 0,01 моль.    n(c2h2) = v(c2h2)/vm   n(c2h2) = 0,672/22,4 = 0,03 моль. по реакции 1 видно, что из 2 моль ацетилена получается 1 моль этана и 1 моль этилена. сумма моль этана и этилена равна 2, т.е. столько же сколько вступило в реакцию ацетилена. на деле же имеем 0.03 моль ацетилена. cумма моль этана и этилена тоже равна 0,03 моль. количество этилена уже расчитано и равно 0,01 моль.   n(ch3-ch3) = n(ch3-ch3+ch2=ch2) - n(ch2=ch2) = 0,03 - 0,01 = 0,02 моль. m(ch2=ch2) = n(ch2=ch2)*m(ch2=ch2) = 0,01*28 = 0,28 г. m(ch3-ch3) = n(ch3-ch3)*m(ch3-ch3) = 0,02*30 = 0,3 г. m(ch3-ch3+ch2=ch2) = m(ch3-ch3) + m(ch2=ch2) = 0,28 + 0,3 = 0,58 г. w(ch2=ch2) = m(ch2=ch2)/m(ch3-ch3+ch2=ch2) = 0,28/0,58 = 0,483  или 48,3% w(ch3-ch3) = m(ch3-ch3)/m(ch3-ch3+ch2=ch2) = 0,3/0,58 = 0,517 или 51,7%..
4,4(65 оценок)
Это интересно:
Новые ответы от MOGZ: Химия
logo
Вход Регистрация
Что ты хочешь узнать?
Спроси Mozg
Открыть лучший ответ