М
Молодежь
К
Компьютеры-и-электроника
Д
Дом-и-сад
С
Стиль-и-уход-за-собой
П
Праздники-и-традиции
Т
Транспорт
П
Путешествия
С
Семейная-жизнь
Ф
Философия-и-религия
Б
Без категории
М
Мир-работы
Х
Хобби-и-рукоделие
И
Искусство-и-развлечения
В
Взаимоотношения
З
Здоровье
К
Кулинария-и-гостеприимство
Ф
Финансы-и-бизнес
П
Питомцы-и-животные
О
Образование
О
Образование-и-коммуникации
pe4onkina
pe4onkina
10.08.2021 17:19 •  Химия

Визначте формулу оксиду якщо відомо що масова частка феруму в ньому 78%. назвіть цю сполуку

іть ! будь-ласка

👇
Ответ:
ульянка37
ульянка37
10.08.2021

Дано:

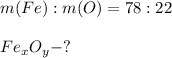
m(Fe):m(O)=78:22\\\\Fe_{x}O_{y}-?

m(Fe):m(O)=78:22\\\\n(Fe):n(O)=\frac{78}{M_{r}(Fe)}:\frac{22}{M_{r}(O)}=\frac{78}{56}:\frac{22}{16}=\\\\=1.393:1.375\approx\underbrace{1:1}\\~\;\;\;\;\;\;\;\;\;\;\;\;\;\;\;\;\;\;\;\;\;\;\;\;\;\;\;\;\;\Downarrow\\~\;\;\;\;\;\;\;\;\;\;\;\;\;\;\;\;\;\;\;\;\;\;\;\;\;\;\;FeO

Проверим:

\omega(Fe)=\frac{M(Fe)}{M(FeO)}=\frac{56\frac{gram}{mol}}{72\frac{gram}{mol}}=0.78 \: \Leftrightarrow \:78\%

ответ: FeO - оксид железа (II).

4,6(66 оценок)
Открыть все ответы
Ответ:
fatyaa22
fatyaa22
10.08.2021

2)По предметным областям; По отношению деятельности тех или иных субъектов; По отражения сущности знания; По отнесению к формам мышления; По функциональному назначению

Неорганическая; органическая; физическая; биологическая; аналитическая; химическая технология

3)Химия - это наука о веществах и законах, по которым происходят превращения в другие вещества;

Биохимия - это наука о веществах, из которых построены живые организмы и о химических процессах, протекающих в них;

Биологическая химия - это наука о строении, свойствах и биологических функциях химических соединений;

Физическая химия - это наука об общих законах строения, структуры и превращения химических веществ

4)C2H5OH - этанол, спирт

C3H6 - пропен, алкен

C5H12 - пентан, алкан

C3H7COH - бутаналь, альдегид

CH3COOH - уксусная кислота, карбоновая кислота

C2H5NH2 - этиламин, амин

C6H6 - бензол, ароматический углеводород

NH2CH2COOH - глицин, аминокислота

C2H2 - ацетилен, алкин

CH2(OH)CH2(OH) - этиленгликоль, многоатомный спирт

C6H12O6 - глюкоза, углевод

4,8(77 оценок)
Ответ:
Stellright
Stellright
10.08.2021

Объяснение:

воду и углекислый  газ

Оксид  алюминия  в воде   не растворится  и выпадет  в пробирке  в осадок.  

Оксид  кальция  образует  с водой  растворимое  основание.

       СаО +  Н2О   =  Сa(OH)2  

    Пентаоксид  фосфора  образует  с водой  ортофосфорную кислоту

      Р2О5  +  3 Н2О  =   2Н3PO4

При  пропускании  углекислого  газа  через  раствор  гидроксида кальция  образуется  белая  муть  карбоната  кальция  СaСО3  

Сa(OH)2  +  СО2  =  СаСО3↓  Н2О

При  пропускании   углекислого  газа  через  раствор  ортофосфорной  кислоты   ни каких  изменений  не наблюдается.

4,6(19 оценок)
Это интересно:
Новые ответы от MOGZ: Химия
logo
Вход Регистрация
Что ты хочешь узнать?
Спроси Mozg
Открыть лучший ответ