М
Молодежь
К
Компьютеры-и-электроника
Д
Дом-и-сад
С
Стиль-и-уход-за-собой
П
Праздники-и-традиции
Т
Транспорт
П
Путешествия
С
Семейная-жизнь
Ф
Философия-и-религия
Б
Без категории
М
Мир-работы
Х
Хобби-и-рукоделие
И
Искусство-и-развлечения
В
Взаимоотношения
З
Здоровье
К
Кулинария-и-гостеприимство
Ф
Финансы-и-бизнес
П
Питомцы-и-животные
О
Образование
О
Образование-и-коммуникации
Прлплмопо
Прлплмопо
15.01.2023 11:36 •  Химия

К15,68 л смеси угарного газа и аммиака общей массой 14 г добавили 5,6 л хлороводорода. на сколько изменится средняя относительная молекулярная масса газовой смеси по сравнению с исходной (при н.

👇
Ответ:
olyaevdokimova
olyaevdokimova
15.01.2023

Дано:

V(CO)+V(NH_{3})=15.68\:l\\m(CO)+m(NH_{3})=14\:gram\\V(HCl)=5.6\:l\\-\!\!\!-\!\!\!-\!\!\!-\!\!\!-\!\!\!-\!\!\!-\!\!\!-\!\!\!-\!\!\!-\!\!\!-\!\!\!-\!\!\!-\!\!\!-\!\!\!-\!\!\!-\!\!\!-\!\!\!-\!\!\!-\!\!\!-\!\!\!-\!\!\!-\!\!\!-\!\!\!-\!\!\!-\!\!\!-\!\!\!-\\\Delta M_{cp}-?

При добавлении хлороводорода к данной смеси будет протекать следующая реакция:

NH_{3}_{(G)}+HCl_{(G)}-\!\!\!-\!\!\!-\!\!\!-\!\!-\!\!-\!\!\!\!\!\! \!\!\!\!\!\!\!\!\!\!\!\!\!\!\!\!\!\!\!\!^{20^{o}C}_{1\:atm}\:\:\:\:\:NH_{4}Cl_{(S)}

В условии задачи однозначно сказано "относительная молекулярная масса газовой смеси ", а значит хлорид аммония можно не учитывать.

Рассмотрим сначала относительныу молекулярную массу до добавления хлороводорода (а), а затем после (б).

а)

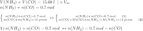
V(NH_{3})+V(CO)=15.68\:l\;\;|\div V_{m}\\n(NH_{3})+n(CO)=0.7\:mol\\\\\left \{ {{n(NH_{3})+n(CO)=0.7\:mol} \atop {m(CO)+m(NH_{3})=14\:gram}} \right. \Leftrightarrow \left \{ {{n(NH_{3})+n(CO)=0.7\:mol\;\;\;\;\;\;\bold{(1)}} \atop {n(CO)\times M(CO)+n(NH_{3})\times M(NH_{3})=14\:gram\;\;\;\;\;\;\bold{(2)}}} \right.\\\\~\bold{1)} \:n(NH_{3})+n(CO)=0.7\:mol\:\leftrightarrow n(NH_{3})=0.7\:mol-n(CO)

\bold{2)} \:n(CO)\times 28\:\frac{gram}{mol} +(0.7\:mol-n(CO))\times 17\:\frac{gram}{mol}=14\:gram\\\\n(CO)\times 28\:\frac{gram}{mol} +11.9\:gram-n(CO)\times17\:\frac{gram}{mol} =14\:gram\\\\n(CO)\times(28\:\frac{gram}{mol}-17\:\frac{gram}{mol})=14\:gram-11.9\:gram\;\;\;|\div(28\:\frac{gram}{mol}-17\:\frac{gram}{mol})\\\\n(CO)=\frac{14\:gram-11.9\:gram}{28\:\frac{gram}{mol}-17\:\frac{gram}{mol}}\;\;\;\;\;\;\;\;\bold{n(CO)=0.19\:mol}\\\\n(NH_{3})+n(CO)=0.7\:mol\;\Rightarrow \bold{n(NH_{3})=0.51\:mol}

Найдём мольные доли:

\bold{\chi=\frac{n}{n_{all}}}\\\\\chi(NH_{3})=\frac{0.51\:mol}{0.7\:mol}=0.73;\; \chi(CO)=0.27

Найдём среднюю молярную массу:

\bold{M_{cp}=\chi_{1}M_{1}+\chi_{2}M_{2}...}\\\\M_{cp\:(1)}=0.73\times 17\:\frac{gram}{mol}+0.27\times 28\:\frac{gram}{mol}=19.97\:\frac{gram}{mol}

б)

n(HCl)=\frac{V(HCl)}{V_{m}}=\frac{5.6\:l}{22.4\:\frac{l}{mol}}=0.25\:mol\\\\n'(NH_{3})=n(NH_{3})-n(HCl)=0.51\:mol-0.25\:mol=0.26\:mol\\\\\fbox{n'(CO)=n(CO)}\\\\\\\chi'(NH_{3})=\frac{0.26\:mol}{0.26\:mol+0.19\:mol}=0.58;\;\chi'(CO)=0.42\\\\M_{cp\:(2)}=0.58\times 17\:\frac{gram}{mol}+0.42\times 28\:\frac{gram}{mol}=21.62\:\frac{gram}{mol}\\\\\\\Delta M_{cp}=|M_{cp\:(2)}-M_{cp\:(1)}|=|21.62\:\frac{gram}{mol}-19.97\:\frac{gram}{mol}|=1.65\:\frac{gram}{mol}

\Delta M_{cp}=1.65\:\frac{gram}{mol}

4,7(16 оценок)
Открыть все ответы
Ответ:
Vartur203
Vartur203
15.01.2023

титан.

Объяснение:

В настоящее время для изготовления имплантатов используются преимущественно кобальтовые или титановые сплавы, а также биокерамика.

 

По сравнению с титановыми кобальтовые сплавы имеют худшую биологическую совместимость. При вживлении в организм имплантатов, изготовленных из кобальтовых сплавов, вокруг них образуются не вполне жизне зернистые ткани, кровоснабжение которых затрудняется, что приводит, в частности, к интенсивному освобождению имплантата. Существенным недостатком кобальтовых сплавов является также их высокая стоимость и дефицитность, из-за чего использование этих сплавов в промышленности и медицине ограничено.

 

Наиболее широко в эндопротезировании применяются титановые сплавы, которые по коррозионной стойкости, биологической и механической совместимости полностью соответствует требованиям, предъявляемым к имплантатам.

4,5(38 оценок)
Ответ:
Golden12345
Golden12345
15.01.2023

Дано:

m(C2H5OH) = 92г

Vпр(C2H4) = 42 л

Найти:

φ - ?

1. C2H5OH => (t>140; H2SO4) CH2 = CH2 + H2O

2. Посчитаем теоретический объём этилового спирта, то есть найти объём, который по уравнению должен был получиться

n(C2H5OH) = n (CH2=CH2)

n(C2H5OH) = 92 г / 46 г/моль = 2 моль

n(CH2=CH2) = 2 моль

Vтеор(CH2=CH2) = 2 моль * 22,4 л/моль = 44,8 л

3. Заметим, что теоретически должно было выделиться 44,8 л этилена, но мы получили 42 л. Найдем объёмную долю выхода продукта

φ = Vпр/Vтеор = 42 л / 44,8л * 100% = 93,75%

ответ: 93,75%

Подробнее - на -

Объяснение:

4,5(90 оценок)
Это интересно:
Новые ответы от MOGZ: Химия
logo
Вход Регистрация
Что ты хочешь узнать?
Спроси Mozg
Открыть лучший ответ