М
Молодежь
К
Компьютеры-и-электроника
Д
Дом-и-сад
С
Стиль-и-уход-за-собой
П
Праздники-и-традиции
Т
Транспорт
П
Путешествия
С
Семейная-жизнь
Ф
Философия-и-религия
Б
Без категории
М
Мир-работы
Х
Хобби-и-рукоделие
И
Искусство-и-развлечения
В
Взаимоотношения
З
Здоровье
К
Кулинария-и-гостеприимство
Ф
Финансы-и-бизнес
П
Питомцы-и-животные
О
Образование
О
Образование-и-коммуникации
zhenyasvetli4n
zhenyasvetli4n
06.09.2022 06:37 •  Химия

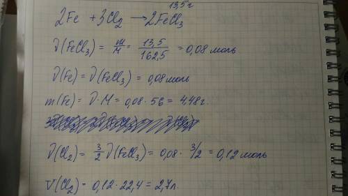
Какая масса fe и объём cl2 должны прореагировать между собой для получения 13,5 г. fecl3

👇
Ответ:
mikc2
mikc2
06.09.2022
Решение во вложении...
Какая масса fe и объём cl2 должны прореагировать между собой для получения 13,5 г. fecl3
4,4(75 оценок)
Открыть все ответы
Ответ:
kalishevij99
kalishevij99
06.09.2022

Объяснение:

4-й  период  ПСХЭ  начинают  два  металла  относящиеся  к  семейству s-элементов  - калий   и  кальций.  А  далее  10 металлов  относящихся  к семейству d-элементов - от  скандия  до цинка  включительно.  А  далее  следует  металл  галлий  относящийся  уже  к семейству р-элементов.

И наконец,  завершает  список  металлов  4-го  периода германий.

Этот  химический  элемент  образует  простое  вещество, обладающее   полупроводниковыми  свойствами.  По свойствам  германий  напоминает  кремний.  И  по  ряду  признаков  относится  к полуметаллам.    Но  все-таки   большинство  химиков  относят  германий  к  металлам.  Таким  образом, в 4-ом  периоде 14  металлов.

 Число  неметаллов  в главных  группах  постепенно   с III  по VII  постепенно  растет.   Если  в  III  группе  один  неметалл  - бор,  то  в VII  

группе  их  официально  известны  пять.

4,8(24 оценок)
Ответ:
AlinaFirdysovna5
AlinaFirdysovna5
06.09.2022

1. Алканы имеют общую формулу CₙH₂ₙ₊₂, на основании этого выбираем формулы:

С₃H₈; C₁₁H₂₄; C₁₂H₂₆; C₉H₂₀

2. C₄H₁₀; C₁₃H₂₈; C₂₀H₄₂; C₅H₁₂; C₁₀H₂₂; C₁₇H₃₆

4. Хим. св-ва:

1) Горение:

2С₂H₆ + 7O₂ = 4CO₂ + 6H₂O

2) Разложение метана и этана:

CH₄ = C + 2H₂ (t=1000°C)

C₂H₆ = C₂H₂ + 2H₂ (t=500°C; kat=Al₂O₃)

8. Применение

1) В качестве органических неполярных растворителей

2) В органическом синтезе: получение ацетилена, метанола, хлороформа и др.

3) В качестве топлива: метан - основной компонент природного газа.

4) Изготовление свечей

5) Смазочные материалы

6) Косметические масла (вазелиновое)

7) Пропиточные материалы

4,8(82 оценок)
Новые ответы от MOGZ: Химия
logo
Вход Регистрация
Что ты хочешь узнать?
Спроси Mozg
Открыть лучший ответ