М
Молодежь
К
Компьютеры-и-электроника
Д
Дом-и-сад
С
Стиль-и-уход-за-собой
П
Праздники-и-традиции
Т
Транспорт
П
Путешествия
С
Семейная-жизнь
Ф
Философия-и-религия
Б
Без категории
М
Мир-работы
Х
Хобби-и-рукоделие
И
Искусство-и-развлечения
В
Взаимоотношения
З
Здоровье
К
Кулинария-и-гостеприимство
Ф
Финансы-и-бизнес
П
Питомцы-и-животные
О
Образование
О
Образование-и-коммуникации
haruto42
haruto42
14.05.2023 17:36 •  Химия

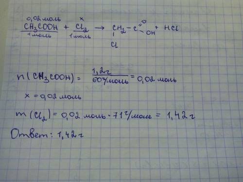
Вычислить массу хлора, необходимого для реакции замещения с 1,2г уксусной кислоты.

👇
Ответ:
hcg1
hcg1
14.05.2023
Если будут вопросы , задавай

Вычислить массу хлора, необходимого для реакции замещения с 1,2г уксусной кислоты.
4,6(23 оценок)
Открыть все ответы
Ответ:
valery2905
valery2905
14.05.2023
Дано:
V(C₂H₄)=54,8л.
Vm=22,4л./моль
ω(выхода этанола)=80% или 0,8

m(C₂H₅OH)-?
1. Определим количество вещества этилена в его 54,8л.:
n(C₂H₂)=V(C₂H₂)÷Vm=54,8л ÷ 22,4л./моль= 2,446моль  округлим 2,5моль.
2. Запишем уравнение реакции гидратации этилена:
CH₂=CH₂ + H-OH ⇒ CH₃-CH₂OH
3. Анализируем уравнение реакции: по уравнению реакции из 1моль этилена образуется 1моль этилового спирта. По условию задачи в реакцию гидратации вступает 2,5моль этилена, значит и образуется тоже 2,5моль этилового спирта. 
n(C₂H₂)=n(CH₃CH₂OH) = 2,5моль.
4. Определим молярную массу этилового спирта и его массу количеством вещества 2,5моль:
M(C₂H₅OH)=12х2+1х5+16+1=46г./моль
m₁(C₂H₅OH)=n(C₂H₅OH)xM(C₂H₅OH)=2,5мольх46г./моль=115г. это теоретический выход этилового спирта.
5. Определим массу этилового спирта если его выход от теоретически возможного 80% (практический выход):

m(C₂H₅OH)= ω(выхода этанола) х m₁(C₂H₅OH)=0,8 х 115г.=92г.
6. ответ: при гидратации 54,8л. этилена с образованием этилового спирта, с 80% выходом от теоретически возможного, практический выход этилового спирта составил 92г.
4,8(5 оценок)
Ответ:
lenamarydina
lenamarydina
14.05.2023
1) n(CO2)=V(CO2)/Vm; n(CO2)=1.2л/22,4л=0,0534 моль
2) V(H2)=m/M*Vm; V(H2)=1.4г/2г/моль*22,4л/моль=15,68 л
V(N2)=m/M*Vm; V(N2)=5.6г/28г/моль*22,4 л/моль=4,48 л
V(смеси)=V(H2)+V(N2); V(смеси)=15,68 л+4,48 л = 20,16 л
ответ: 20,16 л
3) Mg + H2SO4 = MgSO4+H2
24 г120 г
1,2 г х г  х=6 г - это 100% выход
N(MgSO4)=5.5 г/6 г = 0,9167=91,67%
ответ: 91,67%
4) m(Na)=11.5 г-m (примесей); m(Na)=11,5-0,23=11,27 г
    2Na + 2H2O = 2NaOH + H2
    46 г22,4 л
    11,27 г х л
х=5,488 л
ответ: 5,488 л
5)
S + O2 = SO2
32 кг22,4 м3
1,6 кг х м3
х=1,12 м3
V(SO2)=N(SO2)*x
V(SO2)=1.12*0.8=0.896 л
ответ: 0,896 л
6)
m(CaCO3)=1 кг*0,8=0,8 кг
СаСО3--->CaO + CO2
100 кг 56 кг
 0,8 кг х1 г
х1 = 44,8 кг
СаО + Н2О = Са(ОН)2
56 кг 74 кг
44,8 кг х2 кг
х2 = m(Ca(OH)2)= 59,2 кг
ответ: 59,2 кг
7) m(HNO3)= 200*0.131=26.2 г
w(CaCO3)=100-8.5=91.5%
m(CaCO3)=96,8 г*91,5%/100%=88,572 г
CaCO3 + 2HNO3=Ca(NO3)2 + H2O + CO2
100 г126 г22,4 л
88,572 г ---26,2 г х л
СаСО3 взят в избытке, расчет ведем по азотной кислоте;
х=V(CO2) = 4.66 л
ответ: 4,66 л
4,4(49 оценок)
Новые ответы от MOGZ: Химия
logo
Вход Регистрация
Что ты хочешь узнать?
Спроси Mozg
Открыть лучший ответ