М
Молодежь
К
Компьютеры-и-электроника
Д
Дом-и-сад
С
Стиль-и-уход-за-собой
П
Праздники-и-традиции
Т
Транспорт
П
Путешествия
С
Семейная-жизнь
Ф
Философия-и-религия
Б
Без категории
М
Мир-работы
Х
Хобби-и-рукоделие
И
Искусство-и-развлечения
В
Взаимоотношения
З
Здоровье
К
Кулинария-и-гостеприимство
Ф
Финансы-и-бизнес
П
Питомцы-и-животные
О
Образование
О
Образование-и-коммуникации
nastusha510
nastusha510
20.08.2021 12:35 •  Химия

Складіть електронні формули атома та йона натрію і хлору

👇
Ответ:

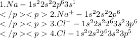
1.Na-1s {}^{2} 2s {}^{2} 2p {}^{6} 3s {}^{1} \\ 2.Na {}^{ + } - 1s {}^{2} 2s {}^{2} 2p {}^{6} \\ 3.Cl {}^{ - } - 1s {}^{2} 2s {}^{2} 2{}^{6}3s {}^{2} 3p {}^{6} \\4.Cl-1s {}^{2} 2s {}^{2} 2{}^{6}3s {}^{2} 3p {}^{5}

Объяснение:

приклади іонів:

Na {}^{ + } ,Cl {}^{ - }

примеры ионов:⤴

4,7(77 оценок)
Открыть все ответы
Ответ:
sasha16103
sasha16103
20.08.2021

Объяснение:

V(молярный) = 22,4 л\моль (константа)

1.Хлор

ν=V\Vм     ν=6,72\22,4=0,3 моль

M = 35*2 = 70 г\моль

m = M*ν     m = 70*03=21 г

N = ν*N(a)     N(a)=6,02*10^23 моль^-1

N = 0,3*6,02*10^23 = 1,806*10^23

2. Метан

М = 12+4=16

m = 16*5 = 80

V = 22,4*5=112

N = 6,02*10^23 * 5 = 30,1 * 10^23

3. SO2

M = 32+16+16=64

ν = 12,8\64 = 0,2

V = 0,2*22,4 = 4,48

N = 6,02*10^23 * 0,2 = 1,204*10^23

4. NH3

ν = 0,6*10^23\6,02*10^23 = 0,1

M = 14+3= 17

m = 0,1*17 = 1,7

V = 0,1*22,4 =  2,24

5. ???

ν = 112\22,4 = 5

M = 1,60\5= 0,32 г 32 мг

Вещество O2

N = 6,02*10^23 * 5 = 30,1*10^23

4,6(14 оценок)
Ответ:
RudiSlav
RudiSlav
20.08.2021

Объяснение:

V(молярный) = 22,4 л\моль (константа)

1.Хлор

ν=V\Vм     ν=6,72\22,4=0,3 моль

M = 35*2 = 70 г\моль

m = M*ν     m = 70*03=21 г

N = ν*N(a)     N(a)=6,02*10^23 моль^-1

N = 0,3*6,02*10^23 = 1,806*10^23

2. Метан

М = 12+4=16

m = 16*5 = 80

V = 22,4*5=112

N = 6,02*10^23 * 5 = 30,1 * 10^23

3. SO2

M = 32+16+16=64

ν = 12,8\64 = 0,2

V = 0,2*22,4 = 4,48

N = 6,02*10^23 * 0,2 = 1,204*10^23

4. NH3

ν = 0,6*10^23\6,02*10^23 = 0,1

M = 14+3= 17

m = 0,1*17 = 1,7

V = 0,1*22,4 =  2,24

5. ???

ν = 112\22,4 = 5

M = 1,60\5= 0,32 г 32 мг

Вещество O2

N = 6,02*10^23 * 5 = 30,1*10^23

4,5(35 оценок)
Это интересно:
Новые ответы от MOGZ: Химия
Полный доступ к MOGZ
Живи умнее Безлимитный доступ к MOGZ Оформи подписку
logo
Вход Регистрация
Что ты хочешь узнать?
Спроси Mozg
Открыть лучший ответ