М
Молодежь
К
Компьютеры-и-электроника
Д
Дом-и-сад
С
Стиль-и-уход-за-собой
П
Праздники-и-традиции
Т
Транспорт
П
Путешествия
С
Семейная-жизнь
Ф
Философия-и-религия
Б
Без категории
М
Мир-работы
Х
Хобби-и-рукоделие
И
Искусство-и-развлечения
В
Взаимоотношения
З
Здоровье
К
Кулинария-и-гостеприимство
Ф
Финансы-и-бизнес
П
Питомцы-и-животные
О
Образование
О
Образование-и-коммуникации
tatyanablok
tatyanablok
24.03.2020 01:07 •  Химия

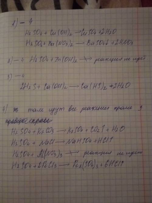
1)раствор серной кислоты реагирует с каждым из двух веществ: 1 оксид магния и оксид углерода (ii) 2 карбонат натрия и оксид кремния (iv) 3 соляная кислота и азотная кислота 4 гидроксид меди (ii) и нитрат бария 2) с раствором серной кислоты не взаимодействует 1 карбонат натрия 2 серебро 3 оксид цинка 4 гидроксид цинка 3)сероводородная кислота реагирует с 1 медью 2 оксидом кремния 3 фосфатом кальция 4 гидроксидом кальция 4)с раствором серной кислоты реагирует * 1 карбонат калия 2 хлорид натрия 3 нитрат алюминия 4 хлорид железа (iii) 80 б

👇
Ответ:
find1337
find1337
24.03.2020
Я тебе реакции тоже написала, в 4 задании проверь там написано должно быть "реагирует "или "не реагирует" если" реагирует "то все три кроме 3, а если "не раегирует"то ток 3
1)раствор серной кислоты реагирует с каждым из двух веществ: 1 оксид магния и оксид углерода (ii) 2
4,6(90 оценок)
Открыть все ответы
Ответ:
nastya2742
nastya2742
24.03.2020

Если известно название элемента, то проще всего посмотреть в таблице Менделеева. Там все группы подписаны, иногда даже раскрашены. Главные подгруппы обозначаются буквой А, побочные - В (это латинские буквы).

 

Если есть только электронное строение, то у элементов главных подгрупп последними заполняются  s и p подуровни. Например, 1s2 2s2 2p6 3s2 3p6 4s2 (это элекронная формула кальция) или 1s2 2s2 2p6 3s2 3p4 (электронная формула серы).

У элементов побочных подгрупп последними заполняются d и f подуровни. Например,

1s2 2s2 2p6 3s2 3p6 3d10 4s2 (электронная формула цинка). Тут нужно знать, что 3d подуровень заполняется перед 4р. Также и 4f подуровень заполняется перед 5d. Короче, нужно помнить или хотябы иметь под рукой порядок заполнения энергетических подуровней в атомах.

 

4,4(87 оценок)
Ответ:
viktoriavasili
viktoriavasili
24.03.2020

1)    24г                                               х

   3CuO + 2NH3 --->   N2(газ) + 3Cu + 3H2O

      240                                             192

И делаем пропорцию:      24 - х

                                               240 - 192

И того получится х=19,2 г

2)  

     4л        6л                х

4NH3 + 5O2 >  4NO + 6H2O

  89,6      112            120

а) Вычисляем избыток и недостаток, а затем из избытка находим оксид азота 

v(NH3) = 4/89.6= 0.04 (нед)

v(O2) = 6/112 = 0.05 (изб)

б) Вычисляем массу оксида азота(II) 

Также делаем пропорцию,:

   4          -         х

  89,6    -         120

Отсюда х= 5,35 г 

 

4,4(81 оценок)
Это интересно:
Новые ответы от MOGZ: Химия
logo
Вход Регистрация
Что ты хочешь узнать?
Спроси Mozg
Открыть лучший ответ