М
Молодежь
К
Компьютеры-и-электроника
Д
Дом-и-сад
С
Стиль-и-уход-за-собой
П
Праздники-и-традиции
Т
Транспорт
П
Путешествия
С
Семейная-жизнь
Ф
Философия-и-религия
Б
Без категории
М
Мир-работы
Х
Хобби-и-рукоделие
И
Искусство-и-развлечения
В
Взаимоотношения
З
Здоровье
К
Кулинария-и-гостеприимство
Ф
Финансы-и-бизнес
П
Питомцы-и-животные
О
Образование
О
Образование-и-коммуникации
xotabich21
xotabich21
03.04.2022 21:51 •  Химия

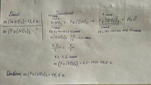
Взаимодействует азотная кислота массой 12, 6 г с гидроксидом железа 3. образуется нитрат железа 3 и вода. найти массу соли

👇
Ответ:
morozandrey7474
morozandrey7474
03.04.2022
Решение на фото...........
Взаимодействует азотная кислота массой 12, 6 г с гидроксидом железа 3. образуется нитрат железа 3 и
4,6(76 оценок)
Открыть все ответы
Ответ:
эля0521
эля0521
03.04.2022
1. по свойствам наиболее близки элементы: 1) углерод и азот 2) бор и углерод 3) углерод и кремний 4) хлор и аргон 2. укажите смысл номера периода в п.с. 1) равен числу протонов в атоме 2) равен общему числу электронов в атоме 3) показывает число энергетических уровней, на которых находятся электроны в основном состоянии атома 4) равен числу валентных электронов. 3. выберите элементы р-семейства: 1) алюминий 2) гелий 3) аргон 4) хлор 4. к семейству d – элементов относят символы: 1) калия 2) железа 3) хрома 4) ксенона 5. элемент с атомным номером 88 относят к семейству: 1) s 2) p 3) d 4) f 6. в периодической зависимости при увеличении заряда ядра на единицу изменяются: 1) относительная атомная масса элемента 2) э.о 3) восстановительные и окислительные свойства атомов элементов 4) радиус атома. 7. в ряду элементов натрий, магний, алюминий восстановительные свойства атомов: 1) возрастают 2) уменьшаются
4,8(34 оценок)
Ответ:
iraermila
iraermila
03.04.2022

– об основных закономерностях протекания химических процессов на основе химических законов и теорий,

– о роли человека в химических технологиях,

– о безопасности при работе с химическими реактивами;

2) знать:

– основные химические законы и теории,

– классификацию органических соединений,

– реакционную веществ,

– пути переработки сырьевых источников органических соединений,

– методы качественного и количественного анализа;

3) уметь:

– применять основные химические законы в профессиональной деятельности,

– анализировать свойства химических систем,

– выбирать методы анализа химических элементов в природных средах и проводить очистку веществ в лабораторных условиях.

В соответствии с учебным планом по разделу «Органические

соединения» следует выполнить одну контрольную работу. Прежде

чем приступить к решению задач, следует внимательно изучить

соответствующий теоретический материал по учебнику. При этом

необходимо обратить внимание на основные получения

данного соединения, химические свойства, особенности механизма

протекания реакции, а также на связь с другими классами органических соединений. Все уравнения реакций следует писать структурными формулами, подписывать наименования всех веществ по

систематической номенклатуре с указанием условий (температуры,

давления, катализатора).

При оформлении работы необходимо указать номер задачи в соответствии с вариантом контрольной работы и переписать условия

контрольного задания полностью в тетрадь. Решения задач и ответы

на теоретические во должны быть краткими и четко обоснованными. В конце работы следует привести список литературы, использованной при выполнении контрольной работы, с указанием авторов и

года издания дату окончания работы, расписаться.

Объяснение:

4,6(18 оценок)
Новые ответы от MOGZ: Химия
logo
Вход Регистрация
Что ты хочешь узнать?
Спроси Mozg
Открыть лучший ответ