М
Молодежь
К
Компьютеры-и-электроника
Д
Дом-и-сад
С
Стиль-и-уход-за-собой
П
Праздники-и-традиции
Т
Транспорт
П
Путешествия
С
Семейная-жизнь
Ф
Философия-и-религия
Б
Без категории
М
Мир-работы
Х
Хобби-и-рукоделие
И
Искусство-и-развлечения
В
Взаимоотношения
З
Здоровье
К
Кулинария-и-гостеприимство
Ф
Финансы-и-бизнес
П
Питомцы-и-животные
О
Образование
О
Образование-и-коммуникации
crasheftf
crasheftf
05.11.2021 08:30 •  Химия

Во сколько раз молекулярная масса с02 больше молекулярной массы водороды ?

👇
Ответ:
илья1974
илья1974
05.11.2021
Дано:
СО₂
H₂
Ar(С) = 12
Ar(O) = 16 
Ar(H) = 1

Найти:
Во сколько раз молекулярная масса СО₂ больше молекулярной
массы Н₂ — ?

Решение:

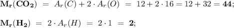
\bold{M_r(CO_2)} \ = \ A_r(C)+2\cdot A_r(O) \ = \ 12+2\cdot 16 = 12+32 = \bold{44}; \\ \\ \bold{M_r(H_2)} \ = \ 2\cdot A_r(H) \ = \ 2 \cdot 1 \ = \ \bold{2}; 



44:2 = 22. Значит, молекулярная масса углекислого газа  CO₂  в 22 раза больше молекулярной массы водорода H.

ответ: в 22 раза
Во сколько раз молекулярная масса с02 больше молекулярной массы водороды ?
4,6(85 оценок)
Ответ:
Х1ега1Х
Х1ега1Х
05.11.2021
ответ :в 22 раза,
т.к Молярная масса CO2 =44,а молярная масса Н2=2
4,6(40 оценок)
Открыть все ответы
Ответ:
nbkmrf
nbkmrf
05.11.2021
Жидкостной стеклянный термометр представляет собой тонкостенный стек- лянный резервуар, соединенный с капилляром, с которым жестко связана температурная шкала. В резервуар с капилляром заливается термометрическая жидкость, на температурной зависимости теплового расширения которой основано действие термометра. В качестве термометрической жидкости используют ртуть (чистая высушенная) и некоторые органические жидкости (толуол, этиловый спирт, керосин и т. Более 50 лет назад возникло понятие температурной шкалы, но еще отсутствовало четкое понимание зависимости шкалы от свойств термометрической жидкости.
4,5(59 оценок)
Ответ:
lehaguy
lehaguy
05.11.2021
1) 3SiO2 + 4Al -> 3Si + 2Al2O3
   Si(+4) +4e -> Si(0)    3   в-ие
   ок-ль
   Al(0)   -3e -> Al(+3)  4  ок-ие
  в-ль

2) Н2(0) - ковалентная неполярная связь
    Ca(+2)F(-)   ионная связь
    C(+4)Cl(-)   ковалентная связь
    Li(+)O(-2)   ионная связь
    N(-3)H(+)    ковалентная полярная связь

1)  KClO2 + S -> KCl + SO2
     Cl(+3) +4e -> Cl(-)  1   в-ие
     ок-ль
     S(0) -4e -> S(+4)    1   ок-ие
    в-ль
2) C(+4)S(-2)  ковалентная полярная связь
    K(+)I(-)   ионная связь
    N(+5)F(-)  ковалентная полярная связь
    N2(0)  ковалентная неполярная связь
    Ba(+2)Cl(-)  ионная связь
4,7(8 оценок)
Это интересно:
Новые ответы от MOGZ: Химия
logo
Вход Регистрация
Что ты хочешь узнать?
Спроси Mozg
Открыть лучший ответ