М
Молодежь
К
Компьютеры-и-электроника
Д
Дом-и-сад
С
Стиль-и-уход-за-собой
П
Праздники-и-традиции
Т
Транспорт
П
Путешествия
С
Семейная-жизнь
Ф
Философия-и-религия
Б
Без категории
М
Мир-работы
Х
Хобби-и-рукоделие
И
Искусство-и-развлечения
В
Взаимоотношения
З
Здоровье
К
Кулинария-и-гостеприимство
Ф
Финансы-и-бизнес
П
Питомцы-и-животные
О
Образование
О
Образование-и-коммуникации
vasyazabelin
vasyazabelin
07.03.2023 06:03 •  Химия

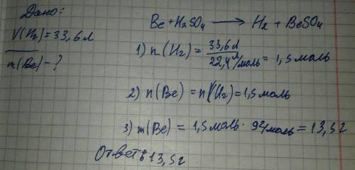
13 . обчисліть масу берилію, що прореагував з сульфатною кислотою, якщо відомо, що при цьому виділилось 33,6 л водню.

👇
Ответ:
sladkoegka03
sladkoegka03
07.03.2023
Решение смотри на фотографии
13 . обчисліть масу берилію, що прореагував з сульфатною кислотою, якщо відомо, що при цьому виділил
4,6(4 оценок)
Открыть все ответы
Ответ:
LIquid0Horse
LIquid0Horse
07.03.2023

Объяснение:

m(NH3)=3,4 gramm - из условияn(NH3)=m/M=3,4/17=0,2 moll - 2 otvetN=Na(число авагадро)*n

количество вещества, n=m(аммиака) / M(молярная масса).М(аммиака)= 14+3 г/моль=17 г/моль (из таблицы Менделеева).Тогда n=3,4 / 17 = 0,2 моль

Следовательно, ответ на пункт б): 0,2 моль.

Количество вещества также равняется количеству молекул, разделенному на число Авогадро : n=N / Na.Na - это константа, равняется 6 * 10^23 (единицы измерения 1/моль). Значок ^ обозначает степень.Тогда N (искомое количество молекул): N= n*Na = 0,2 * 6 *10^23 = 1,2 * 10^23 молекул

4,7(80 оценок)
Ответ:
Daniela080722
Daniela080722
07.03.2023
Общая формула карбоновых кислот CnH2nO2
Для решения задачи на нужно знать атомную массу каждого элемента входящего в формулу . И так: C=12,H=1 O=16 а так как у нас 2 атома кислорода то будет 32
Теперь из массы кислоты вычитаем молярную массу двух атомов кислорода(мы получим молярную массу приходящиюся на углерод и водород) 60-32=28
28( как раз соответствует n=2 в формуле : 12*2+4*1=28)
То есть получаем формулу :C2H4O2
На всякий случай рассчитан молярную массу полученой кислоты:M(C2H4O2)=12*1+1*4+16*2=12+4+32=60
ответ :C2H4O2
отметьте решение как лучшее.
4,4(65 оценок)
Это интересно:
Новые ответы от MOGZ: Химия
logo
Вход Регистрация
Что ты хочешь узнать?
Спроси Mozg
Открыть лучший ответ